Note
Go to the end to download the full example code.
Burner-stabilized flame with imposed temperature profile#
A burner-stabilized, premixed methane/air flat flame with multicomponent transport properties and a specified temperature profile.
Requires: cantera >= 3.0, matplotlib >= 2.0
from pathlib import Path
import numpy as np
import matplotlib.pyplot as plt
import cantera as ct
parameter values
p = ct.one_atm # pressure
tburner = 373.7 # burner temperature
mdot = 0.04 # kg/m^2/s
comp = 'CH4:0.65, O2:1, N2:3.76' # premixed gas composition
# The solution domain is chosen to be 1 cm
width = 0.01 # m
loglevel = 1 # amount of diagnostic output (0 to 5)
refine_grid = True # 'True' to enable refinement
Create the gas object. This object will be used to evaluate all thermodynamic, kinetic, and transport properties
gas = ct.Solution('gri30.yaml')
# set its state to that of the unburned gas at the burner
gas.TPX = tburner, p, comp
# create the BurnerFlame object.
f = ct.BurnerFlame(gas=gas, width=width)
# set the mass flow rate at the burner
f.burner.mdot = mdot
Specify temperature vs. position data. For the purposes of this example, the data
is embedded directly. For more general use, the temperature profile should be stored
as a separate data file and read in, for example using np.genfromtxt.
zloc = np.array([
0. , 0.00015625, 0.00023437, 0.00039063, 0.00046875, 0.00050781,
0.00054688, 0.000625 , 0.00066406, 0.00070312, 0.00074219, 0.00078125,
0.00082031, 0.00085938, 0.00089844, 0.0009375 , 0.00101563, 0.00105469,
0.00109375, 0.00113281, 0.00117187, 0.00121094, 0.00125 , 0.00128906,
0.00132813, 0.00136719, 0.00140625, 0.00144531, 0.00148438, 0.00152344,
0.0015625 , 0.00160156, 0.00164062, 0.00171875, 0.00175781, 0.00179688,
0.00183594, 0.001875 , 0.00191406, 0.00195312, 0.00199219, 0.00203125,
0.00207031, 0.00210938, 0.00214844, 0.0021875 , 0.00222656, 0.00226562,
0.00230469, 0.00234375, 0.00238281, 0.00242187, 0.00246094, 0.0025 ,
0.00257813, 0.00265625, 0.00273437, 0.0028125 , 0.00289062, 0.00296875,
0.00304688, 0.003125 , 0.00328125, 0.0034375 , 0.00359375, 0.00375 ,
0.00390625, 0.0087 , 0.01
])
tvalues = np.array([
373.7 , 465.4070428, 510.4311676, 599.5552837, 643.8342938,
665.9335545, 688.0122338, 732.1284327, 754.1744755, 776.2170662,
798.2588757, 820.3020011, 842.348001 , 864.3979228, 886.4523159,
908.5112198, 952.6396629, 974.7018199, 996.7515831, 1018.777651 ,
1040.765863 , 1062.69948 , 1084.558639 , 1106.320078 , 1127.956918 ,
1149.438472 , 1170.730129 , 1191.793309 , 1212.585506 , 1233.060477 ,
1253.168589 , 1272.857384 , 1292.072391 , 1328.859767 , 1346.323998 ,
1363.101361 , 1379.147594 , 1394.425274 , 1408.905834 , 1422.569115 ,
1435.40408 , 1447.410648 , 1458.597668 , 1468.982722 , 1478.590978 ,
1487.453914 , 1495.607879 , 1503.092709 , 1509.950449 , 1516.224147 ,
1521.956853 , 1527.19079 , 1531.966722 , 1536.32348 , 1543.891739 ,
1550.203579 , 1555.480771 , 1559.908135 , 1563.637879 , 1566.794144 ,
1569.477867 , 1571.77099 , 1575.385829 , 1578.108169 , 1580.194856 ,
1581.820666 , 1583.106578 , 1589.51315 , 1589.578955
])
zloc /= max(zloc)
# set the temperature profile to the values read in
f.flame.set_fixed_temp_profile(zloc, tvalues)
show the initial estimate for the solution
f.show()
# don't solve the energy equation
f.energy_enabled = False
# first solve the flame with mixture-averaged transport properties
f.transport_model = 'mixture-averaged'
f.set_refine_criteria(ratio=3.0, slope=0.3, curve=1)
f.solve(loglevel, refine_grid)
if "native" in ct.hdf_support():
output = Path() / "flame_fixed_T.h5"
else:
output = Path() / "flame_fixed_T.yaml"
output.unlink(missing_ok=True)
f.save(output, name="mix", description="solution with mixture-averaged transport")
print('\n\n switching to multicomponent transport...\n\n')
f.transport_model = 'multicomponent'
f.set_refine_criteria(ratio=3.0, slope=0.1, curve=0.2)
f.solve(loglevel, refine_grid)
f.save(output, name="multi", description="solution with multicomponent transport")
# write the velocity, temperature, density, and mole fractions to a CSV file
f.save('flame_fixed_T.csv', basis="mole", overwrite=True)
f.show_stats()
>>>>>>>>>>>>>>>>>>>>>>>>>>>>>>>>> burner <<<<<<<<<<<<<<<<<<<<<<<<<<<<<<<<<
Mass Flux: 0.04 kg/m^2/s
Temperature: 373.7 K
Mass Fractions:
O2 0.2166
CH4 0.07057
N2 0.7129
>>>>>>>>>>>>>>>>>>>>>>>>>>>>>>>>> flame <<<<<<<<<<<<<<<<<<<<<<<<<<<<<<<<<
Pressure: 1.013e+05 Pa
-------------------------------------------------------------------------------
z velocity spreadRate T Lambda eField
-------------------------------------------------------------------------------
0 0.04491 0 373.7 0 0
0.001 0.1562 0 1240 0 0
0.002 0.2674 0 2107 0 0
0.003 0.2674 0 2107 0 0
0.005 0.2674 0 2107 0 0
0.007 0.2674 0 2107 0 0
0.01 0.2674 0 2107 0 0
-------------------------------------------------------------------------------
z Uo H2 H O O2
-------------------------------------------------------------------------------
0 0 0 0 0 0.2166
0.001 0 0.001694 1.324e-05 1.187e-06 0.1083
0.002 0 0.003388 2.649e-05 2.375e-06 8.549e-06
0.003 0 0.003388 2.649e-05 2.375e-06 8.549e-06
0.005 0 0.003388 2.649e-05 2.375e-06 8.549e-06
0.007 0 0.003388 2.649e-05 2.375e-06 8.549e-06
0.01 0 0.003388 2.649e-05 2.375e-06 8.549e-06
-------------------------------------------------------------------------------
z OH H2O HO2 H2O2 C
-------------------------------------------------------------------------------
0 0 0 0 0 0
0.001 0.0001135 0.06393 1.61e-09 8.313e-10 7.198e-17
0.002 0.000227 0.1279 3.22e-09 1.663e-09 1.44e-16
0.003 0.000227 0.1279 3.22e-09 1.663e-09 1.44e-16
0.005 0.000227 0.1279 3.22e-09 1.663e-09 1.44e-16
0.007 0.000227 0.1279 3.22e-09 1.663e-09 1.44e-16
0.01 0.000227 0.1279 3.22e-09 1.663e-09 1.44e-16
-------------------------------------------------------------------------------
z CH CH2 CH2(S) CH3 CH4
-------------------------------------------------------------------------------
0 0 0 0 0 0.07057
0.001 5.988e-17 1.245e-15 6.747e-17 6.201e-14 0.03529
0.002 1.198e-16 2.49e-15 1.349e-16 1.24e-13 4.373e-13
0.003 1.198e-16 2.49e-15 1.349e-16 1.24e-13 4.373e-13
0.005 1.198e-16 2.49e-15 1.349e-16 1.24e-13 4.373e-13
0.007 1.198e-16 2.49e-15 1.349e-16 1.24e-13 4.373e-13
0.01 1.198e-16 2.49e-15 1.349e-16 1.24e-13 4.373e-13
-------------------------------------------------------------------------------
z CO CO2 HCO CH2O CH2OH
-------------------------------------------------------------------------------
0 0 0 0 0 0
0.001 0.03328 0.04451 6.693e-09 6.348e-10 5.328e-15
0.002 0.06656 0.08903 1.339e-08 1.27e-09 1.066e-14
0.003 0.06656 0.08903 1.339e-08 1.27e-09 1.066e-14
0.005 0.06656 0.08903 1.339e-08 1.27e-09 1.066e-14
0.007 0.06656 0.08903 1.339e-08 1.27e-09 1.066e-14
0.01 0.06656 0.08903 1.339e-08 1.27e-09 1.066e-14
-------------------------------------------------------------------------------
z CH3O CH3OH C2H C2H2 C2H3
-------------------------------------------------------------------------------
0 0 0 0 0 0
0.001 7.758e-17 2.904e-15 1.7e-20 4.29e-17 9.646e-22
0.002 1.552e-16 5.808e-15 3.4e-20 8.579e-17 1.929e-21
0.003 1.552e-16 5.808e-15 3.4e-20 8.579e-17 1.929e-21
0.005 1.552e-16 5.808e-15 3.4e-20 8.579e-17 1.929e-21
0.007 1.552e-16 5.808e-15 3.4e-20 8.579e-17 1.929e-21
0.01 1.552e-16 5.808e-15 3.4e-20 8.579e-17 1.929e-21
-------------------------------------------------------------------------------
z C2H4 C2H5 C2H6 HCCO CH2CO
-------------------------------------------------------------------------------
0 0 0 0 0 0
0.001 7.73e-21 2.486e-25 1.202e-25 5.191e-17 4.844e-16
0.002 1.546e-20 4.971e-25 2.404e-25 1.038e-16 9.688e-16
0.003 1.546e-20 4.971e-25 2.404e-25 1.038e-16 9.688e-16
0.005 1.546e-20 4.971e-25 2.404e-25 1.038e-16 9.688e-16
0.007 1.546e-20 4.971e-25 2.404e-25 1.038e-16 9.688e-16
0.01 1.546e-20 4.971e-25 2.404e-25 1.038e-16 9.688e-16
-------------------------------------------------------------------------------
z HCCOH N NH NH2 NH3
-------------------------------------------------------------------------------
0 0 0 0 0 0
0.001 3.173e-19 8.648e-10 7.756e-10 1.917e-09 4.21e-08
0.002 6.347e-19 1.73e-09 1.551e-09 3.834e-09 8.419e-08
0.003 6.347e-19 1.73e-09 1.551e-09 3.834e-09 8.419e-08
0.005 6.347e-19 1.73e-09 1.551e-09 3.834e-09 8.419e-08
0.007 6.347e-19 1.73e-09 1.551e-09 3.834e-09 8.419e-08
0.01 6.347e-19 1.73e-09 1.551e-09 3.834e-09 8.419e-08
-------------------------------------------------------------------------------
z NNH NO NO2 N2O HNO
-------------------------------------------------------------------------------
0 0 0 0 0 0
0.001 6.43e-10 3.093e-05 3.977e-10 2.33e-09 1.888e-09
0.002 1.286e-09 6.186e-05 7.954e-10 4.661e-09 3.777e-09
0.003 1.286e-09 6.186e-05 7.954e-10 4.661e-09 3.777e-09
0.005 1.286e-09 6.186e-05 7.954e-10 4.661e-09 3.777e-09
0.007 1.286e-09 6.186e-05 7.954e-10 4.661e-09 3.777e-09
0.01 1.286e-09 6.186e-05 7.954e-10 4.661e-09 3.777e-09
-------------------------------------------------------------------------------
z CN HCN H2CN HCNN HCNO
-------------------------------------------------------------------------------
0 0 0 0 0 0
0.001 1.088e-12 2.824e-09 2.049e-15 1.011e-19 8.02e-16
0.002 2.175e-12 5.648e-09 4.098e-15 2.023e-19 1.604e-15
0.003 2.175e-12 5.648e-09 4.098e-15 2.023e-19 1.604e-15
0.005 2.175e-12 5.648e-09 4.098e-15 2.023e-19 1.604e-15
0.007 2.175e-12 5.648e-09 4.098e-15 2.023e-19 1.604e-15
0.01 2.175e-12 5.648e-09 4.098e-15 2.023e-19 1.604e-15
-------------------------------------------------------------------------------
z HOCN HNCO NCO N2 AR
-------------------------------------------------------------------------------
0 0 0 0 0.7129 0
0.001 1.588e-11 7.375e-09 3.844e-11 0.7129 0
0.002 3.176e-11 1.475e-08 7.688e-11 0.7128 0
0.003 3.176e-11 1.475e-08 7.688e-11 0.7128 0
0.005 3.176e-11 1.475e-08 7.688e-11 0.7128 0
0.007 3.176e-11 1.475e-08 7.688e-11 0.7128 0
0.01 3.176e-11 1.475e-08 7.688e-11 0.7128 0
-------------------------------------------------------------------------------
z C3H7 C3H8 CH2CHO CH3CHO
-------------------------------------------------------------------------------
0 0 0 0 0
0.001 2.615e-37 1.186e-37 5.824e-21 7.352e-21
0.002 5.23e-37 2.373e-37 1.165e-20 1.47e-20
0.003 5.23e-37 2.373e-37 1.165e-20 1.47e-20
0.005 5.23e-37 2.373e-37 1.165e-20 1.47e-20
0.007 5.23e-37 2.373e-37 1.165e-20 1.47e-20
0.01 5.23e-37 2.373e-37 1.165e-20 1.47e-20
>>>>>>>>>>>>>>>>>>>>>>>>>>>>>>>>> outlet <<<<<<<<<<<<<<<<<<<<<<<<<<<<<<<<<
-------------------------------------------------------------------------------
z
-------------------------------------------------------------------------------
0
Attempt Newton solution of steady-state problem.
Newton steady-state solve failed.
Attempt 10 timesteps.
Final timestep info: dt= 8.009e-06 log(ss)= 1.656
Attempt Newton solution of steady-state problem.
Newton steady-state solve failed.
Attempt 10 timesteps.
Final timestep info: dt= 9.123e-05 log(ss)= 1.506
Attempt Newton solution of steady-state problem.
Newton steady-state solve failed.
Attempt 10 timesteps.
Final timestep info: dt= 0.001559 log(ss)= 0.1528
Attempt Newton solution of steady-state problem.
Newton steady-state solve succeeded.
Problem solved on [7] point grid(s).
##############################################################################
Refining grid in flame.
New points inserted after grid points 0 1 2 3
to resolve C2H2 C2H3 C2H4 C2H5 C2H6 C3H8 CH2 CH2CHO CH2CO CH2O CH2OH CH3 CH3CHO CH3O CH3OH CH4 CO CO2 H H2 H2O H2O2 HCCO HCCOH HCN HCO HNCO HO2 NO NO2 O O2 OH
##############################################################################
Attempt Newton solution of steady-state problem.
Newton steady-state solve succeeded.
Problem solved on [11] point grid(s).
##############################################################################
Refining grid in flame.
New points inserted after grid points 0 1 2 3 4 5 6
to resolve C2H2 C2H3 C2H4 C2H5 C2H6 C3H8 CH2 CH2CHO CH2CO CH2O CH2OH CH3 CH3CHO CH3O CH3OH H H2O2 HCCO HCCOH HCO HO2 NO2 O OH
##############################################################################
Attempt Newton solution of steady-state problem.
Newton steady-state solve succeeded.
Problem solved on [18] point grid(s).
##############################################################################
Refining grid in flame.
New points inserted after grid points 3 5 6 7 8 9 12
to resolve C2H3 C2H5 C3H8 CH2 CH2CHO CH3 CH3CHO H2O2 HCCO HCO O OH
##############################################################################
Attempt Newton solution of steady-state problem.
Newton steady-state solve succeeded.
Problem solved on [25] point grid(s).
no new points needed in flame
switching to multicomponent transport...
Attempt Newton solution of steady-state problem.
Newton steady-state solve succeeded.
Problem solved on [25] point grid(s).
##############################################################################
Refining grid in flame.
New points inserted after grid points 0 1 2 3 4 5 6 7 8 9 10 11 12 13 14 15 16 17 18 19 20 21 22
to resolve C2H2 C2H3 C2H4 C2H5 C2H6 C3H8 CH2 CH2CHO CH2CO CH2O CH2OH CH3 CH3CHO CH3O CH3OH CH4 CO H H2 H2O H2O2 HCCO HCCOH HCO HO2 N2 NO2 O O2 OH
##############################################################################
Attempt Newton solution of steady-state problem.
Newton steady-state solve succeeded.
Problem solved on [48] point grid(s).
##############################################################################
Refining grid in flame.
New points inserted after grid points 3 4 5 10 11 13 14 23 24 25 26 32 33 34 35 36 40 42 46
to resolve C2H3 C2H4 C2H5 C3H8 CH2 CH2CHO CH2CO CH3CHO CH3O H H2O2 HCCO HCO HO2 O OH point 46
##############################################################################
Attempt Newton solution of steady-state problem.
Newton steady-state solve succeeded.
Problem solved on [67] point grid(s).
no new points needed in flame
Statistics:
Grid Timesteps Functions Time Jacobians Time
9 30 519 0.3793 22 2.4291
13 0 42 0.0480 1 0.1945
20 0 12 0.0266 1 0.3276
27 0 4 0.0056 1 0.4148
27 0 2 0.0804 1 0.3159
50 0 4 0.3191 1 0.5422
69 0 4 0.4374 1 0.4994
Temperature and Heat Release Rate#
fig, ax1 = plt.subplots()
ax1.plot(f.grid, f.heat_release_rate / 1e6, color='C4')
ax1.set_ylabel('heat release rate [MW/m³]', color='C4')
ax1.set_xlim(0, 0.01)
ax1.set(xlabel='distance from burner [m]')
ax2 = ax1.twinx()
ax2.plot(f.grid, f.T, color='C3')
ax2.set_ylabel('temperature [K]', color='C3')
plt.show()

Major Species Profiles#
fig, ax = plt.subplots()
major = ('O2', 'H2', 'H2O')
states = f.to_array()
ax.plot(states.grid, states(*major).X, label=major)
ax.set(xlabel='distance from burner [m]', ylabel='mole fractions')
ax.set_xlim(0, 0.01)
ax.legend()
plt.show()

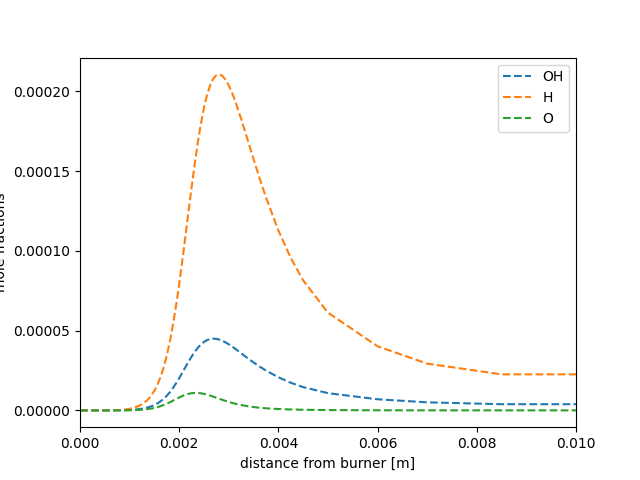
Minor Species Profiles#
fig, ax = plt.subplots()
minor = ('OH', 'H', 'O')
ax.plot(states.grid, states(*minor).X, label=minor, linestyle='--')
ax.set(xlabel='distance from burner [m]', ylabel='mole fractions', )
ax.set_xlim(0, 0.01)
ax.legend()
plt.show()

Total running time of the script: (0 minutes 2.533 seconds)