Note
Go to the end to download the full example code.
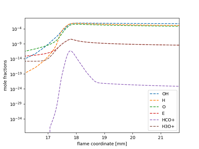
Freely-propagating flame with charged species#
A freely-propagating, premixed methane-air flat flame with charged species.
Requires: cantera >= 3.0, matplotlib >= 2.0
from pathlib import Path
import numpy as np
import matplotlib.pyplot as plt
import cantera as ct
# Simulation parameters
p = ct.one_atm # pressure [Pa]
Tin = 300.0 # unburned gas temperature [K]
reactants = 'CH4:1, O2:2, N2:7.52' # premixed gas composition
width = 0.05 # m
loglevel = 1 # amount of diagnostic output (0 to 8)
# Solution object used to compute mixture properties, set to the state of the
# upstream fuel-air mixture
gas = ct.Solution('gri30_ion.yaml')
gas.TPX = Tin, p, reactants
# Set up flame object
f = ct.FreeFlame(gas, width=width)
f.set_refine_criteria(ratio=3, slope=0.05, curve=0.1)
f.show()
# stage one (no diffusion of ions)
f.solve(loglevel=loglevel, auto=True)
# stage two
f.electric_field_enabled = True
f.solve(loglevel=loglevel)
if "native" in ct.hdf_support():
output = Path() / "ion_free_flame.h5"
else:
output = Path() / "ion_free_flame.yaml"
output.unlink(missing_ok=True)
f.save(output, name="ion", description="solution with ionized gas transport")
f.show()
print(f"mixture-averaged flamespeed = {f.velocity[0]:7f} m/s")
# write the velocity, temperature, density, and mole fractions to a CSV file
f.save('ion_free_flame.csv', basis="mole", overwrite=True)
>>>>>>>>>>>>>>>>>>>>>>>>>>>>>>>>> reactants <<<<<<<<<<<<<<<<<<<<<<<<<<<<<<<<<
Mass Flux: 1.123 kg/m^2/s
Temperature: 300 K
Mass Fractions:
O2 0.2201
CH4 0.05519
N2 0.7247
>>>>>>>>>>>>>>>>>>>>>>>>>>>>>>>>> flame <<<<<<<<<<<<<<<<<<<<<<<<<<<<<<<<<
Pressure: 1.013e+05 Pa
-------------------------------------------------------------------------------
z velocity spreadRate T Lambda eField
-------------------------------------------------------------------------------
0 1 0 300 0 0
0.01 1 0 300 0 0
0.015 1 0 300 0 0
0.0175 2.618 0 781.4 0 0
0.02 4.237 0 1263 0 0
0.025 7.474 0 2226 0 0
0.03 7.474 0 2226 0 0
0.04 7.474 0 2226 0 0
0.05 7.474 0 2226 0 0
-------------------------------------------------------------------------------
z Uo H2 O2 H2O CH4
-------------------------------------------------------------------------------
0 0 0 0.2201 0 0.05519
0.01 0 0 0.2201 0 0.05519
0.015 0 0 0.2201 0 0.05519
0.0175 0 6.623e-05 0.1665 0.03013 0.04139
0.02 0 0.0001325 0.1128 0.06025 0.02759
0.025 0 0.0002649 0.005392 0.1205 2.082e-17
0.03 0 0.0002649 0.005392 0.1205 1.774e-17
0.04 0 0.0002649 0.005392 0.1205 1.774e-17
0.05 0 0.0002649 0.005392 0.1205 1.774e-17
-------------------------------------------------------------------------------
z CO CO2 N2 H O
-------------------------------------------------------------------------------
0 0 0 0.7247 0 0
0.01 0 0 0.7247 0 0
0.015 0 0 0.7247 0 0
0.0175 0.002295 0.03424 0.7244 3.586e-06 3.145e-05
0.02 0.004589 0.06848 0.7242 7.173e-06 6.29e-05
0.025 0.009178 0.137 0.7237 1.435e-05 0.0001258
0.03 0.009178 0.137 0.7237 1.435e-05 0.0001258
0.04 0.009178 0.137 0.7237 1.435e-05 0.0001258
0.05 0.009178 0.137 0.7237 1.435e-05 0.0001258
-------------------------------------------------------------------------------
z OH HO2 H2O2 C CH
-------------------------------------------------------------------------------
0 0 0 0 0 0
0.01 0 0 0 0 0
0.015 0 0 0 0 0
0.0175 0.0004457 1.501e-07 1.418e-08 2.428e-18 3.989e-19
0.02 0.0008914 3.002e-07 2.836e-08 4.856e-18 7.978e-19
0.025 0.001783 6.004e-07 5.671e-08 9.712e-18 1.596e-18
0.03 0.001783 6.004e-07 5.671e-08 9.712e-18 1.596e-18
0.04 0.001783 6.004e-07 5.671e-08 9.712e-18 1.596e-18
0.05 0.001783 6.004e-07 5.671e-08 9.712e-18 1.596e-18
-------------------------------------------------------------------------------
z CH2 CH2(S) CH3 HCO CH2O
-------------------------------------------------------------------------------
0 0 0 0 0 0
0.01 0 0 0 0 0
0.015 0 0 0 0 0
0.0175 1.256e-18 7.615e-20 8.529e-18 2.103e-10 3.611e-12
0.02 2.513e-18 1.523e-19 1.706e-17 4.205e-10 7.222e-12
0.025 5.026e-18 3.046e-19 3.411e-17 8.41e-10 1.444e-11
0.03 5.026e-18 3.046e-19 3.411e-17 8.41e-10 1.444e-11
0.04 5.026e-18 3.046e-19 3.411e-17 8.41e-10 1.444e-11
0.05 5.026e-18 3.046e-19 3.411e-17 8.41e-10 1.444e-11
-------------------------------------------------------------------------------
z CH2OH CH3O CH3OH C2H C2H2
-------------------------------------------------------------------------------
0 0 0 0 0 0
0.01 0 0 0 0 0
0.015 0 0 0 0 0
0.0175 1.164e-17 1.86e-19 1.02e-18 8.375e-25 2.171e-22
0.02 2.327e-17 3.72e-19 2.04e-18 1.675e-24 4.342e-22
0.025 4.655e-17 7.439e-19 4.08e-18 3.35e-24 8.683e-22
0.03 4.655e-17 7.439e-19 4.08e-18 3.35e-24 8.683e-22
0.04 4.655e-17 7.439e-19 4.08e-18 3.35e-24 8.683e-22
0.05 4.655e-17 7.439e-19 4.08e-18 3.35e-24 8.683e-22
-------------------------------------------------------------------------------
z C2H3 C2H4 C2H5 C2H6 HCCO
-------------------------------------------------------------------------------
0 0 0 0 0 0
0.01 0 0 0 0 0
0.015 0 0 0 0 0
0.0175 1.706e-27 1.849e-27 2.078e-32 1.561e-33 2.007e-20
0.02 3.412e-27 3.697e-27 4.155e-32 3.123e-33 4.014e-20
0.025 6.825e-27 7.395e-27 8.311e-32 6.246e-33 8.027e-20
0.03 6.825e-27 7.395e-27 8.311e-32 6.246e-33 8.027e-20
0.04 6.825e-27 7.395e-27 8.311e-32 6.246e-33 8.027e-20
0.05 6.825e-27 7.395e-27 8.311e-32 6.246e-33 8.027e-20
-------------------------------------------------------------------------------
z CH2CO HCCOH N NH NH2
-------------------------------------------------------------------------------
0 0 0 0 0 0
0.01 0 0 0 0 0
0.015 0 0 0 0 0
0.0175 2.723e-20 2.67e-23 1.819e-09 3.229e-10 1.374e-10
0.02 5.445e-20 5.34e-23 3.637e-09 6.459e-10 2.748e-10
0.025 1.089e-19 1.068e-22 7.275e-09 1.292e-09 5.497e-10
0.03 1.089e-19 1.068e-22 7.275e-09 1.292e-09 5.497e-10
0.04 1.089e-19 1.068e-22 7.275e-09 1.292e-09 5.497e-10
0.05 1.089e-19 1.068e-22 7.275e-09 1.292e-09 5.497e-10
-------------------------------------------------------------------------------
z NH3 NNH NO NO2 N2O
-------------------------------------------------------------------------------
0 0 0 0 0 0
0.01 0 0 0 0 0
0.015 0 0 0 0 0
0.0175 4.17e-10 1.999e-10 0.0005164 1.452e-07 4.019e-08
0.02 8.341e-10 3.997e-10 0.001033 2.904e-07 8.038e-08
0.025 1.668e-09 7.995e-10 0.002066 5.808e-07 1.608e-07
0.03 1.668e-09 7.995e-10 0.002066 5.808e-07 1.608e-07
0.04 1.668e-09 7.995e-10 0.002066 5.808e-07 1.608e-07
0.05 1.668e-09 7.995e-10 0.002066 5.808e-07 1.608e-07
-------------------------------------------------------------------------------
z HNO CN HCN H2CN HCNN
-------------------------------------------------------------------------------
0 0 0 0 0 0
0.01 0 0 0 0 0
0.015 0 0 0 0 0
0.0175 9.516e-09 1.606e-14 4.756e-12 1.4e-18 4.924e-22
0.02 1.903e-08 3.213e-14 9.512e-12 2.799e-18 9.849e-22
0.025 3.806e-08 6.426e-14 1.902e-11 5.598e-18 1.97e-21
0.03 3.806e-08 6.426e-14 1.902e-11 5.598e-18 1.97e-21
0.04 3.806e-08 6.426e-14 1.902e-11 5.598e-18 1.97e-21
0.05 3.806e-08 6.426e-14 1.902e-11 5.598e-18 1.97e-21
-------------------------------------------------------------------------------
z HCNO HOCN HNCO NCO AR
-------------------------------------------------------------------------------
0 0 0 0 0 0
0.01 0 0 0 0 0
0.015 0 0 0 0 0
0.0175 4.001e-17 4.436e-13 1.516e-10 5.912e-12 0
0.02 8.002e-17 8.872e-13 3.031e-10 1.182e-11 0
0.025 1.6e-16 1.774e-12 6.062e-10 2.365e-11 0
0.03 1.6e-16 1.774e-12 6.062e-10 2.365e-11 0
0.04 1.6e-16 1.774e-12 6.062e-10 2.365e-11 0
0.05 1.6e-16 1.774e-12 6.062e-10 2.365e-11 0
-------------------------------------------------------------------------------
z C3H7 C3H8 CH2CHO CH3CHO HCO+
-------------------------------------------------------------------------------
0 0 0 0 0 0
0.01 0 0 0 0 0
0.015 0 0 0 0 0
0.0175 1.391e-47 9.76e-49 1.159e-25 2.351e-26 3.868e-16
0.02 2.781e-47 1.952e-48 2.317e-25 4.702e-26 7.736e-16
0.025 5.563e-47 3.904e-48 4.634e-25 9.403e-26 1.547e-15
0.03 5.563e-47 3.904e-48 4.634e-25 9.403e-26 1.547e-15
0.04 5.563e-47 3.904e-48 4.634e-25 9.403e-26 1.547e-15
0.05 5.563e-47 3.904e-48 4.634e-25 9.403e-26 1.547e-15
-------------------------------------------------------------------------------
z H3O+ E
-------------------------------------------------------------------------------
0 0 0
0.01 0 0
0.015 0 0
0.0175 6.375e-13 1.839e-17
0.02 1.275e-12 3.679e-17
0.025 2.55e-12 7.357e-17
0.03 2.55e-12 7.357e-17
0.04 2.55e-12 7.357e-17
0.05 2.55e-12 7.357e-17
>>>>>>>>>>>>>>>>>>>>>>>>>>>>>>>>> products <<<<<<<<<<<<<<<<<<<<<<<<<<<<<<<<<
-------------------------------------------------------------------------------
z
-------------------------------------------------------------------------------
0
************ Solving on 9 point grid with energy equation enabled ************
Attempt Newton solution of steady-state problem.
Newton steady-state solve failed.
Attempt 10 timesteps.
Final timestep info: dt= 2.136e-05 log(ss)= 4.69
Attempt Newton solution of steady-state problem.
Newton steady-state solve failed.
Attempt 10 timesteps.
Final timestep info: dt= 0.0001216 log(ss)= 3.965
Attempt Newton solution of steady-state problem.
Newton steady-state solve failed.
Attempt 10 timesteps.
Final timestep info: dt= 0.003117 log(ss)= 3.275
Attempt Newton solution of steady-state problem.
Newton steady-state solve failed.
Attempt 10 timesteps.
Final timestep info: dt= 0.0009864 log(ss)= 4.266
Attempt Newton solution of steady-state problem.
Newton steady-state solve failed.
Attempt 10 timesteps.
Final timestep info: dt= 3.901e-05 log(ss)= 6.27
Attempt Newton solution of steady-state problem.
Newton steady-state solve failed.
Attempt 10 timesteps.
Final timestep info: dt= 3.703e-05 log(ss)= 5.918
Attempt Newton solution of steady-state problem.
Newton steady-state solve failed.
Attempt 10 timesteps.
Final timestep info: dt= 0.0006327 log(ss)= 3.832
Attempt Newton solution of steady-state problem.
Newton steady-state solve failed.
Attempt 10 timesteps.
Final timestep info: dt= 0.01081 log(ss)= 2.826
Attempt Newton solution of steady-state problem.
Newton steady-state solve succeeded.
Problem solved on [9] point grid(s).
grid refinement disabled.
******************** Solving with grid refinement enabled ********************
Attempt Newton solution of steady-state problem.
Newton steady-state solve succeeded.
Problem solved on [9] point grid(s).
##############################################################################
Refining grid in flame.
New points inserted after grid points 0 1 2 3 4 5 6
to resolve C C2H2 C2H4 C2H5 C2H6 C3H8 CH CH2 CH2(S) CH2CO CH2O CH2OH CH3 CH3CHO CH3O CH3OH CH4 CO CO2 H H2 H2O H2O2 HCCO HCN HCNO HCO HNCO HNO HO2 N N2 N2O NCO NH2 NO NO2 O O2 OH T velocity
##############################################################################
Attempt Newton solution of steady-state problem.
Newton steady-state solve failed.
Attempt 10 timesteps.
Final timestep info: dt= 4.271e-05 log(ss)= 5.457
Attempt Newton solution of steady-state problem.
Newton steady-state solve failed.
Attempt 10 timesteps.
Final timestep info: dt= 2.027e-05 log(ss)= 6.067
Attempt Newton solution of steady-state problem.
Newton steady-state solve succeeded.
Problem solved on [16] point grid(s).
##############################################################################
Refining grid in flame.
New points inserted after grid points 3 4 5 6 7 8 9 10 12 13
to resolve C C2H2 C2H3 C2H4 C2H5 C2H6 C3H7 C3H8 CH CH2 CH2(S) CH2CHO CH2CO CH2O CH2OH CH3 CH3CHO CH3O CH3OH CH4 CO CO2 H H2 H2O H2O2 H3O+ HCCO HCN HCNO HCO HNCO HNO HO2 N N2 N2O NCO NH NH2 NO NO2 O O2 OH T velocity
##############################################################################
Attempt Newton solution of steady-state problem.
Newton steady-state solve failed.
Attempt 10 timesteps.
Final timestep info: dt= 0.0001709 log(ss)= 5.079
Attempt Newton solution of steady-state problem.
Newton steady-state solve failed.
Attempt 10 timesteps.
Final timestep info: dt= 1.14e-05 log(ss)= 6.232
Attempt Newton solution of steady-state problem.
Newton steady-state solve succeeded.
Problem solved on [26] point grid(s).
##############################################################################
Refining grid in flame.
New points inserted after grid points 6 7 8 9 10 11 12 13 14 15 24
to resolve C C2H2 C2H3 C2H4 C2H5 C2H6 C3H7 C3H8 CH CH2 CH2(S) CH2CHO CH2CO CH2O CH2OH CH3 CH3CHO CH3O CH3OH CH4 CO CO2 H H2 H2O H2O2 H3O+ HCCO HCCOH HCN HCNO HCO HNCO HO2 N N2 N2O NCO NH NH2 NO NO2 O O2 OH T point 24 velocity
##############################################################################
Attempt Newton solution of steady-state problem.
Newton steady-state solve failed.
Attempt 10 timesteps.
Final timestep info: dt= 0.0001709 log(ss)= 5.029
Attempt Newton solution of steady-state problem.
Newton steady-state solve succeeded.
Problem solved on [37] point grid(s).
##############################################################################
Refining grid in flame.
New points inserted after grid points 9 10 11 12 13 14 15 16 17 18 19 20 21 29 30 31 32 34
to resolve C C2H C2H2 C2H3 C2H4 C2H5 C2H6 C3H7 C3H8 CH CH2 CH2(S) CH2CHO CH2CO CH2O CH2OH CH3 CH3CHO CH3O CH3OH CH4 CO CO2 H H2 H2O H2O2 H3O+ HCCO HCCOH HCN HCNO HCO HNCO HO2 N N2 N2O NCO NH NH3 NO NO2 O O2 OH T velocity
##############################################################################
Attempt Newton solution of steady-state problem.
Newton steady-state solve failed.
Attempt 10 timesteps.
Final timestep info: dt= 0.0001139 log(ss)= 5.356
Attempt Newton solution of steady-state problem.
Newton steady-state solve succeeded.
Problem solved on [55] point grid(s).
##############################################################################
Refining grid in flame.
New points inserted after grid points 11 12 13 14 15 16 17 18 19 20 21 22 23 24 50
to resolve C C2H C2H2 C2H3 C2H4 C2H5 C2H6 C3H7 C3H8 CH CH2 CH2(S) CH2CHO CH2CO CH2O CH2OH CH3 CH3CHO CH3O CH3OH CH4 CO CO2 H H2 H2O H2O2 H3O+ HCCO HCCOH HCN HCNN HCNO HCO HNCO HO2 N N2 N2O NCO NH NH2 NH3 NO NO2 O O2 OH T velocity
##############################################################################
Attempt Newton solution of steady-state problem.
Newton steady-state solve succeeded.
Problem solved on [70] point grid(s).
##############################################################################
Refining grid in flame.
New points inserted after grid points 13 14 15 16 17 18 19 20 21 22 23 24 25 26 28 29 66 67
to resolve C C2H C2H2 C2H3 C2H4 C2H5 C2H6 C3H7 C3H8 CH CH2 CH2(S) CH2CHO CH2CO CH2O CH2OH CH3 CH3CHO CH3O CH3OH CH4 CO CO2 H H2 H2O H2O2 H3O+ HCCO HCCOH HCN HCNO HCO HNCO HO2 N N2 N2O NCO NO NO2 O O2 OH T velocity
##############################################################################
Attempt Newton solution of steady-state problem.
Newton steady-state solve succeeded.
Problem solved on [88] point grid(s).
##############################################################################
Refining grid in flame.
New points inserted after grid points 17 18 19 20 21 22 23 24 25 26 27 28 29 30 31 32 33 34 35 36 37 38 41 86
to resolve C C2H C2H2 C2H3 C2H4 C2H5 C2H6 C3H7 C3H8 CH CH2 CH2(S) CH2CHO CH2CO CH2O CH2OH CH3 CH3CHO CH3O CH3OH CH4 CO CO2 H H2 H2O H2O2 HCCO HCCOH HCN HCNO HCO HNCO HO2 N N2 NCO NO NO2 O O2 OH T point 86 velocity
##############################################################################
Attempt Newton solution of steady-state problem.
Newton steady-state solve succeeded.
Problem solved on [112] point grid(s).
##############################################################################
Refining grid in flame.
New points inserted after grid points 21 22 23 24 25 26 27 28 29 30 31 32 33 34 35 36 37 38 39 40 41 42 43 44 45 46 47 48 49 50 51 52 53 54 55 56
to resolve C C2H C2H2 C2H3 C2H4 C2H5 C2H6 C3H7 C3H8 CH CH2 CH2(S) CH2CHO CH2CO CH2O CH2OH CH3 CH3CHO CH3O CH3OH CH4 CO H H2 H2O H2O2 HCCO HCCOH HCN HCO HNCO HO2 N2 NO2 O O2 OH T velocity
##############################################################################
Attempt Newton solution of steady-state problem.
Newton steady-state solve succeeded.
Problem solved on [148] point grid(s).
##############################################################################
Refining grid in flame.
New points inserted after grid points 31 32 33 34 35 36 37 38 39 40 41 42 43 44 45 46 47 48 49 50 51 52 53 54 55 56 57 58 59 60 61 62 63 64 65 66 67 68 69 70 71 72 73 74 75 76 77 78 79 80 81 82 83
to resolve C C2H2 C2H3 C2H4 C2H5 C2H6 C3H7 C3H8 CH CH2 CH2(S) CH2CHO CH2CO CH2O CH2OH CH3 CH3CHO CH3O CH3OH H2O2 HCCO HCCOH HCO HO2 NO2 O
##############################################################################
Attempt Newton solution of steady-state problem.
Newton steady-state solve succeeded.
Problem solved on [201] point grid(s).
##############################################################################
Refining grid in flame.
New points inserted after grid points 89 90 91 92 93 94 95 96 97 98 99 100 101 102 103 104 105 106 107 113 114 115 116 117 118 119
to resolve C2H3 C2H5 C3H8 CH CH2 HCCO
##############################################################################
Attempt Newton solution of steady-state problem.
Newton steady-state solve succeeded.
Problem solved on [227] point grid(s).
##############################################################################
Refining grid in flame.
New points inserted after grid points 224
to resolve NO
##############################################################################
Attempt Newton solution of steady-state problem.
Newton steady-state solve succeeded.
Problem solved on [228] point grid(s).
no new points needed in flame
Attempt Newton solution of steady-state problem.
Newton steady-state solve failed.
Attempt 10 timesteps.
Final timestep info: dt= 5.695e-05 log(ss)= 0.2141
Attempt Newton solution of steady-state problem.
Newton steady-state solve succeeded.
Problem solved on [228] point grid(s).
no new points needed in flame
>>>>>>>>>>>>>>>>>>>>>>>>>>>>>>>>> reactants <<<<<<<<<<<<<<<<<<<<<<<<<<<<<<<<<
Mass Flux: 0.4267 kg/m^2/s
Temperature: 300 K
Mass Fractions:
O2 0.2201
CH4 0.05519
N2 0.7247
>>>>>>>>>>>>>>>>>>>>>>>>>>>>>>>>> flame <<<<<<<<<<<<<<<<<<<<<<<<<<<<<<<<<
Pressure: 1.013e+05 Pa
-------------------------------------------------------------------------------
z velocity spreadRate T Lambda eField
-------------------------------------------------------------------------------
0 0.3802 0 300 0 -4.236e-16
0.005 0.3802 0 300 0 -1.888
0.01 0.3802 0 300 0 -5.889
0.0125 0.3802 0 300 0 -10.21
0.01375 0.3802 0 300 0 -14.28
0.015 0.3802 0 300 0 -23.76
0.01562 0.3802 0 300 0 -32.79
0.01594 0.3802 0 300 0 -39.69
0.01625 0.3802 0 300 0 -51.16
0.01656 0.3804 0 300.1 0 -73.27
0.01672 0.3807 0 300.2 0 -90.73
0.01688 0.3814 0 300.6 0 -121.5
0.01695 0.3823 0 301.2 0 -143.7
0.01703 0.3843 0 302.5 0 -177.7
0.01707 0.3862 0 303.9 0 -199.7
0.01711 0.3892 0 306.1 0 -228.3
0.01715 0.394 0 309.6 0 -266.3
0.01719 0.4017 0 315.4 0 -317.6
0.01721 0.4072 0 319.6 0 -347.6
0.01723 0.4144 0 325.1 0 -382.3
0.01725 0.4235 0 332.1 0 -422
0.01727 0.4352 0 341 0 -467.2
0.01728 0.4422 0 346.4 0 -491.2
0.01729 0.4502 0 352.4 0 -516.3
0.01729 0.4591 0 359.3 0 -542.5
0.0173 0.4691 0 367 0 -569.5
0.01731 0.4803 0 375.5 0 -597.1
0.01732 0.4928 0 385.1 0 -625.1
0.01733 0.5066 0 395.7 0 -653.4
0.01734 0.522 0 407.5 0 -682
0.01735 0.5388 0 420.4 0 -710.8
0.01736 0.5573 0 434.6 0 -740
0.01737 0.5672 0 442.2 0 -754.6
0.01737 0.5776 0 450.1 0 -769.3
0.01738 0.5883 0 458.3 0 -783.9
0.01738 0.5996 0 467 0 -798.5
0.01739 0.6113 0 475.9 0 -813
0.01739 0.6235 0 485.2 0 -827.5
0.0174 0.6361 0 494.9 0 -841.8
0.0174 0.6493 0 505 0 -856.1
0.01741 0.6629 0 515.4 0 -870.3
0.01741 0.677 0 526.1 0 -884.5
0.01742 0.6916 0 537.3 0 -898.5
0.01742 0.7066 0 548.8 0 -912.5
0.01743 0.7222 0 560.7 0 -926.3
0.01743 0.7382 0 572.9 0 -940.1
0.01744 0.7548 0 585.5 0 -953.9
0.01744 0.7718 0 598.5 0 -967.6
0.01745 0.7893 0 611.8 0 -981.2
0.01745 0.8073 0 625.5 0 -994.8
0.01746 0.8257 0 639.6 0 -1008
0.01746 0.8447 0 654 0 -1022
0.01747 0.864 0 668.7 0 -1035
0.01747 0.8839 0 683.8 0 -1049
0.01748 0.9042 0 699.3 0 -1062
0.01748 0.925 0 715 0 -1076
0.01749 0.9462 0 731.1 0 -1089
0.01749 0.9679 0 747.6 0 -1103
0.0175 0.99 0 764.3 0 -1116
0.0175 1.012 0 781.4 0 -1130
0.0175 1.035 0 798.8 0 -1143
0.01751 1.059 0 816.4 0 -1157
0.01751 1.082 0 834.4 0 -1171
0.01752 1.107 0 852.7 0 -1184
0.01752 1.131 0 871.2 0 -1198
0.01753 1.156 0 890 0 -1212
0.01753 1.181 0 909.1 0 -1226
0.01754 1.207 0 928.4 0 -1239
0.01754 1.233 0 948 0 -1253
0.01755 1.259 0 967.8 0 -1268
0.01755 1.286 0 987.8 0 -1282
0.01756 1.313 0 1008 0 -1296
0.01756 1.34 0 1029 0 -1310
0.01757 1.367 0 1049 0 -1325
0.01757 1.395 0 1070 0 -1340
0.01758 1.423 0 1091 0 -1355
0.01758 1.451 0 1112 0 -1370
0.01759 1.479 0 1133 0 -1385
0.01759 1.508 0 1155 0 -1400
0.0176 1.536 0 1176 0 -1416
0.0176 1.565 0 1197 0 -1432
0.01761 1.593 0 1219 0 -1448
0.01761 1.622 0 1240 0 -1464
0.01762 1.651 0 1262 0 -1480
0.01762 1.68 0 1283 0 -1497
0.01763 1.708 0 1305 0 -1514
0.01763 1.737 0 1326 0 -1531
0.01764 1.765 0 1347 0 -1548
0.01764 1.794 0 1369 0 -1565
0.01765 1.822 0 1389 0 -1582
0.01765 1.835 0 1400 0 -1590
0.01765 1.849 0 1410 0 -1598
0.01765 1.863 0 1420 0 -1606
0.01766 1.877 0 1430 0 -1614
0.01766 1.89 0 1441 0 -1622
0.01766 1.904 0 1451 0 -1629
0.01766 1.917 0 1461 0 -1636
0.01767 1.93 0 1470 0 -1642
0.01767 1.943 0 1480 0 -1648
0.01767 1.956 0 1490 0 -1654
0.01767 1.969 0 1500 0 -1659
0.01768 1.982 0 1509 0 -1663
0.01768 1.995 0 1518 0 -1667
0.01768 2.007 0 1528 0 -1670
0.01768 2.019 0 1537 0 -1673
0.01769 2.032 0 1546 0 -1674
0.01769 2.044 0 1555 0 -1675
0.01769 2.056 0 1564 0 -1675
0.01769 2.067 0 1573 0 -1673
0.0177 2.079 0 1581 0 -1671
0.0177 2.09 0 1590 0 -1667
0.0177 2.101 0 1598 0 -1662
0.0177 2.112 0 1606 0 -1656
0.01771 2.123 0 1614 0 -1648
0.01771 2.134 0 1622 0 -1639
0.01771 2.144 0 1630 0 -1628
0.01771 2.154 0 1638 0 -1615
0.01771 2.164 0 1645 0 -1601
0.01772 2.174 0 1653 0 -1585
0.01772 2.184 0 1660 0 -1567
0.01772 2.193 0 1667 0 -1548
0.01772 2.203 0 1674 0 -1526
0.01773 2.212 0 1681 0 -1502
0.01773 2.22 0 1687 0 -1476
0.01773 2.229 0 1694 0 -1448
0.01773 2.237 0 1700 0 -1418
0.01774 2.245 0 1706 0 -1385
0.01774 2.253 0 1712 0 -1349
0.01774 2.269 0 1724 0 -1273
0.01775 2.283 0 1735 0 -1193
0.01775 2.296 0 1745 0 -1109
0.01776 2.309 0 1755 0 -1021
0.01776 2.321 0 1764 0 -932.5
0.01777 2.327 0 1768 0 -885.9
0.01777 2.332 0 1772 0 -837.4
0.01777 2.338 0 1776 0 -787.3
0.01777 2.343 0 1780 0 -736.1
0.01778 2.348 0 1784 0 -683.9
0.01778 2.352 0 1788 0 -631
0.01778 2.357 0 1791 0 -577.4
0.01778 2.361 0 1795 0 -523.3
0.01779 2.366 0 1798 0 -468.9
0.01779 2.37 0 1802 0 -414
0.01779 2.374 0 1805 0 -358.6
0.01779 2.378 0 1808 0 -302.6
0.0178 2.381 0 1811 0 -245.7
0.0178 2.385 0 1813 0 -187.2
0.0178 2.391 0 1819 0 -79.24
0.01781 2.398 0 1824 0 22.73
0.01781 2.403 0 1828 0 119.7
0.01782 2.409 0 1833 0 211.7
0.01782 2.413 0 1837 0 298.7
0.01783 2.418 0 1841 0 380.5
0.01783 2.422 0 1844 0 456.9
0.01784 2.426 0 1848 0 527.7
0.01784 2.43 0 1851 0 592.9
0.01785 2.433 0 1854 0 652.5
0.01785 2.437 0 1857 0 706.5
0.01786 2.44 0 1859 0 755
0.01786 2.443 0 1862 0 798.4
0.01787 2.446 0 1865 0 837
0.01787 2.448 0 1867 0 871.2
0.01788 2.451 0 1869 0 901.9
0.01788 2.453 0 1872 0 930.5
0.01789 2.458 0 1876 0 966
0.0179 2.462 0 1880 0 987
0.01791 2.466 0 1884 0 996.8
0.01792 2.47 0 1888 0 997.7
0.01793 2.473 0 1891 0 991.4
0.01794 2.477 0 1895 0 979.5
0.01795 2.48 0 1898 0 962.8
0.01796 2.484 0 1901 0 941.2
0.01797 2.487 0 1904 0 912.4
0.01799 2.493 0 1910 0 865.4
0.01801 2.499 0 1916 0 819.5
0.01803 2.505 0 1921 0 771.9
0.01805 2.51 0 1927 0 709.1
0.01809 2.521 0 1937 0 638.9
0.01813 2.531 0 1946 0 582.2
0.01816 2.54 0 1954 0 534.1
0.0182 2.549 0 1962 0 492.7
0.01824 2.558 0 1970 0 456.7
0.01828 2.566 0 1977 0 424.8
0.01832 2.573 0 1984 0 394.6
0.01836 2.58 0 1990 0 355.9
0.01844 2.594 0 2002 0 317.5
0.01852 2.606 0 2012 0 287.5
0.01859 2.617 0 2022 0 262.4
0.01867 2.628 0 2031 0 241.1
0.01875 2.637 0 2040 0 222.7
0.01883 2.646 0 2047 0 206.6
0.01891 2.654 0 2054 0 192.3
0.01898 2.662 0 2061 0 178.7
0.01906 2.669 0 2067 0 160.8
0.01922 2.681 0 2078 0 144
0.01938 2.693 0 2088 0 130.8
0.01953 2.703 0 2097 0 119.6
0.01969 2.712 0 2105 0 109.9
0.01984 2.72 0 2112 0 101
0.02 2.727 0 2119 0 88.41
0.02031 2.74 0 2130 0 78.26
0.02063 2.75 0 2140 0 70.27
0.02094 2.76 0 2148 0 63.32
0.02125 2.767 0 2155 0 52.97
0.02188 2.78 0 2167 0 45.99
0.0225 2.79 0 2176 0 40.63
0.02312 2.798 0 2184 0 36.18
0.02375 2.805 0 2190 0 29.28
0.025 2.815 0 2199 0 25.13
0.02625 2.822 0 2206 0 22
0.0275 2.828 0 2211 0 19.52
0.02875 2.832 0 2215 0 17.52
0.03 2.836 0 2218 0 15.87
0.03125 2.838 0 2221 0 14.49
0.0325 2.84 0 2223 0 13.31
0.03375 2.842 0 2224 0 12.31
0.035 2.844 0 2226 0 11.43
0.03625 2.845 0 2227 0 10.67
0.0375 2.846 0 2228 0 9.989
0.03875 2.846 0 2228 0 9.387
0.04 2.847 0 2229 0 8.848
0.04125 2.847 0 2229 0 8.361
0.0425 2.848 0 2230 0 7.915
0.04375 2.848 0 2230 0 7.487
0.045 2.848 0 2230 0 6.969
0.04625 2.849 0 2231 0 5.782
0.0475 2.849 0 2231 0 -0.2402
0.05 2.849 0 2231 0 -12.29
-------------------------------------------------------------------------------
z Uo H2 O2 H2O CH4
-------------------------------------------------------------------------------
0 0 3.869e-12 0.2201 3.046e-17 0.05519
0.005 0 9.813e-11 0.2201 2.579e-15 0.05519
0.01 0 2.489e-09 0.2201 2.197e-13 0.05519
0.0125 0 2.553e-08 0.2201 7.143e-12 0.05519
0.01375 0 1.423e-07 0.2201 1.192e-10 0.05519
0.015 0 9.704e-07 0.2201 2.576e-09 0.05519
0.01562 0 3.276e-06 0.2201 2.308e-08 0.05519
0.01594 0 7.062e-06 0.2201 1.138e-07 0.05519
0.01625 0 1.661e-05 0.2201 6.789e-07 0.05518
0.01656 0 4.072e-05 0.2201 4.2e-06 0.05518
0.01672 0 6.654e-05 0.2201 1.287e-05 0.05517
0.01688 0 0.000112 0.2201 4.418e-05 0.05516
0.01695 0 0.0001477 0.2201 9.045e-05 0.05513
0.01703 0 0.0001969 0.22 0.0001968 0.05508
0.01707 0 0.0002284 0.2199 0.0003013 0.05503
0.01711 0 0.0002658 0.2198 0.0004727 0.05495
0.01715 0 0.0003099 0.2196 0.0007518 0.05483
0.01719 0 0.0003618 0.2193 0.001202 0.05463
0.01721 0 0.000391 0.219 0.001529 0.05449
0.01723 0 0.0004226 0.2187 0.001951 0.05432
0.01725 0 0.0004567 0.2183 0.002491 0.05409
0.01727 0 0.0004932 0.2177 0.003177 0.0538
0.01728 0 0.0005124 0.2174 0.003588 0.05363
0.01729 0 0.0005323 0.217 0.00405 0.05343
0.01729 0 0.0005527 0.2165 0.004568 0.05321
0.0173 0 0.0005737 0.216 0.005147 0.05297
0.01731 0 0.0005953 0.2154 0.005792 0.0527
0.01732 0 0.0006174 0.2147 0.006507 0.0524
0.01733 0 0.0006401 0.214 0.007296 0.05206
0.01734 0 0.0006632 0.2131 0.008163 0.05169
0.01735 0 0.0006867 0.2122 0.009112 0.05128
0.01736 0 0.0007107 0.2111 0.01014 0.05084
0.01737 0 0.0007228 0.2106 0.01069 0.0506
0.01737 0 0.000735 0.21 0.01127 0.05035
0.01738 0 0.0007473 0.2094 0.01186 0.05009
0.01738 0 0.0007596 0.2087 0.01248 0.04982
0.01739 0 0.000772 0.208 0.01312 0.04953
0.01739 0 0.0007845 0.2073 0.01379 0.04924
0.0174 0 0.000797 0.2065 0.01447 0.04893
0.0174 0 0.0008096 0.2057 0.01519 0.04861
0.01741 0 0.0008223 0.2049 0.01592 0.04828
0.01741 0 0.000835 0.204 0.01668 0.04794
0.01742 0 0.0008477 0.2031 0.01746 0.04758
0.01742 0 0.0008604 0.2021 0.01827 0.04721
0.01743 0 0.0008732 0.2011 0.0191 0.04683
0.01743 0 0.000886 0.2001 0.01995 0.04643
0.01744 0 0.0008989 0.199 0.02082 0.04602
0.01744 0 0.0009117 0.1979 0.02172 0.0456
0.01745 0 0.0009246 0.1968 0.02264 0.04517
0.01745 0 0.0009375 0.1956 0.02359 0.04472
0.01746 0 0.0009504 0.1943 0.02455 0.04426
0.01746 0 0.0009633 0.193 0.02554 0.04379
0.01747 0 0.0009762 0.1917 0.02655 0.0433
0.01747 0 0.0009891 0.1904 0.02758 0.0428
0.01748 0 0.001002 0.1889 0.02864 0.04228
0.01748 0 0.001015 0.1875 0.02971 0.04175
0.01749 0 0.001028 0.186 0.0308 0.04121
0.01749 0 0.001041 0.1844 0.03192 0.04065
0.0175 0 0.001053 0.1829 0.03305 0.04009
0.0175 0 0.001066 0.1812 0.03421 0.0395
0.0175 0 0.001079 0.1795 0.03538 0.0389
0.01751 0 0.001092 0.1778 0.03658 0.03829
0.01751 0 0.001105 0.176 0.03779 0.03767
0.01752 0 0.001118 0.1742 0.03902 0.03703
0.01752 0 0.00113 0.1724 0.04027 0.03638
0.01753 0 0.001143 0.1705 0.04153 0.03572
0.01753 0 0.001156 0.1685 0.04282 0.03504
0.01754 0 0.001168 0.1665 0.04412 0.03435
0.01754 0 0.001181 0.1645 0.04543 0.03364
0.01755 0 0.001193 0.1624 0.04676 0.03292
0.01755 0 0.001206 0.1603 0.04811 0.03219
0.01756 0 0.001218 0.1581 0.04947 0.03145
0.01756 0 0.00123 0.1559 0.05085 0.0307
0.01757 0 0.001242 0.1536 0.05224 0.02993
0.01757 0 0.001254 0.1513 0.05364 0.02915
0.01758 0 0.001266 0.149 0.05506 0.02836
0.01758 0 0.001278 0.1466 0.05648 0.02756
0.01759 0 0.00129 0.1442 0.05792 0.02675
0.01759 0 0.001301 0.1417 0.05936 0.02593
0.0176 0 0.001312 0.1392 0.06082 0.0251
0.0176 0 0.001323 0.1367 0.06228 0.02426
0.01761 0 0.001334 0.1341 0.06375 0.02342
0.01761 0 0.001344 0.1315 0.06522 0.02257
0.01762 0 0.001354 0.1289 0.06669 0.02172
0.01762 0 0.001364 0.1263 0.06817 0.02086
0.01763 0 0.001374 0.1236 0.06965 0.02001
0.01763 0 0.001382 0.1209 0.07112 0.01915
0.01764 0 0.001391 0.1182 0.0726 0.0183
0.01764 0 0.001399 0.1155 0.07406 0.01744
0.01765 0 0.001406 0.1127 0.07552 0.0166
0.01765 0 0.001409 0.1114 0.07624 0.01618
0.01765 0 0.001413 0.11 0.07697 0.01576
0.01765 0 0.001416 0.1086 0.07769 0.01534
0.01766 0 0.001419 0.1072 0.0784 0.01493
0.01766 0 0.001421 0.1059 0.07912 0.01451
0.01766 0 0.001424 0.1045 0.07982 0.01411
0.01766 0 0.001426 0.1031 0.08053 0.0137
0.01767 0 0.001428 0.1018 0.08123 0.0133
0.01767 0 0.00143 0.1004 0.08192 0.0129
0.01767 0 0.001432 0.09905 0.08261 0.01251
0.01767 0 0.001433 0.09769 0.0833 0.01212
0.01768 0 0.001434 0.09634 0.08398 0.01173
0.01768 0 0.001435 0.095 0.08465 0.01135
0.01768 0 0.001436 0.09366 0.08532 0.01098
0.01768 0 0.001437 0.09232 0.08598 0.01061
0.01769 0 0.001437 0.091 0.08663 0.01024
0.01769 0 0.001437 0.08968 0.08728 0.009886
0.01769 0 0.001437 0.08837 0.08791 0.009533
0.01769 0 0.001436 0.08707 0.08854 0.009186
0.0177 0 0.001435 0.08577 0.08917 0.008846
0.0177 0 0.001434 0.08449 0.08978 0.008512
0.0177 0 0.001433 0.08322 0.09039 0.008184
0.0177 0 0.001431 0.08196 0.09098 0.007864
0.01771 0 0.001429 0.08071 0.09157 0.007551
0.01771 0 0.001427 0.07947 0.09215 0.007244
0.01771 0 0.001425 0.07825 0.09272 0.006945
0.01771 0 0.001422 0.07703 0.09328 0.006653
0.01771 0 0.001419 0.07583 0.09383 0.006369
0.01772 0 0.001416 0.07465 0.09437 0.006092
0.01772 0 0.001412 0.07348 0.0949 0.005823
0.01772 0 0.001409 0.07232 0.09542 0.005562
0.01772 0 0.001404 0.07118 0.09593 0.005308
0.01773 0 0.0014 0.07006 0.09643 0.005062
0.01773 0 0.001396 0.06895 0.09691 0.004823
0.01773 0 0.001391 0.06786 0.09739 0.004593
0.01773 0 0.001386 0.06678 0.09786 0.00437
0.01774 0 0.00138 0.06572 0.09831 0.004154
0.01774 0 0.001375 0.06468 0.09876 0.003946
0.01774 0 0.001363 0.06265 0.09962 0.003554
0.01775 0 0.00135 0.06068 0.1004 0.00319
0.01775 0 0.001337 0.05879 0.1012 0.002855
0.01776 0 0.001323 0.05697 0.1019 0.002547
0.01776 0 0.001308 0.05522 0.1026 0.002266
0.01777 0 0.001301 0.05437 0.1029 0.002135
0.01777 0 0.001293 0.05354 0.1033 0.00201
0.01777 0 0.001286 0.05273 0.1036 0.001891
0.01777 0 0.001278 0.05194 0.1039 0.001778
0.01778 0 0.00127 0.05116 0.1041 0.00167
0.01778 0 0.001262 0.0504 0.1044 0.001568
0.01778 0 0.001254 0.04966 0.1047 0.001472
0.01778 0 0.001246 0.04894 0.105 0.00138
0.01779 0 0.001238 0.04823 0.1052 0.001293
0.01779 0 0.00123 0.04754 0.1054 0.001211
0.01779 0 0.001222 0.04687 0.1057 0.001133
0.01779 0 0.001214 0.04621 0.1059 0.00106
0.0178 0 0.001206 0.04557 0.1061 0.0009905
0.0178 0 0.001198 0.04495 0.1063 0.0009253
0.0178 0 0.001182 0.04375 0.1067 0.0008063
0.01781 0 0.001166 0.04261 0.1071 0.000701
0.01781 0 0.00115 0.04153 0.1074 0.0006081
0.01782 0 0.001135 0.0405 0.1077 0.0005265
0.01782 0 0.001121 0.03953 0.108 0.000455
0.01783 0 0.001106 0.03861 0.1082 0.0003924
0.01783 0 0.001092 0.03774 0.1085 0.0003378
0.01784 0 0.001079 0.03692 0.1087 0.0002904
0.01784 0 0.001066 0.03614 0.1089 0.0002492
0.01785 0 0.001054 0.03541 0.109 0.0002136
0.01785 0 0.001043 0.03471 0.1092 0.0001827
0.01786 0 0.001032 0.03405 0.1093 0.0001562
0.01786 0 0.001021 0.03343 0.1095 0.0001333
0.01787 0 0.001011 0.03284 0.1096 0.0001136
0.01787 0 0.001002 0.03229 0.1097 9.674e-05
0.01788 0 0.0009931 0.03176 0.1098 8.228e-05
0.01788 0 0.0009848 0.03126 0.1099 6.99e-05
0.01789 0 0.0009698 0.03035 0.11 5.053e-05
0.0179 0 0.0009566 0.02952 0.1101 3.642e-05
0.01791 0 0.0009451 0.02878 0.1102 2.619e-05
0.01792 0 0.0009352 0.02811 0.1102 1.879e-05
0.01793 0 0.0009265 0.02751 0.1103 1.345e-05
0.01794 0 0.0009191 0.02696 0.1103 9.614e-06
0.01795 0 0.0009126 0.02646 0.1104 6.857e-06
0.01796 0 0.000907 0.026 0.1104 4.875e-06
0.01797 0 0.0009021 0.02558 0.1104 3.45e-06
0.01799 0 0.0008941 0.02484 0.1104 1.782e-06
0.01801 0 0.0008879 0.02421 0.1104 9.176e-07
0.01803 0 0.0008827 0.02366 0.1104 4.689e-07
0.01805 0 0.0008782 0.02318 0.1104 2.32e-07
0.01809 0 0.0008705 0.02238 0.1105 6.807e-08
0.01813 0 0.000863 0.02172 0.1105 2.009e-08
0.01816 0 0.0008553 0.02116 0.1107 5.977e-09
0.0182 0 0.0008472 0.02067 0.1108 1.793e-09
0.01824 0 0.0008387 0.02024 0.111 5.427e-10
0.01828 0 0.0008299 0.01985 0.1111 1.657e-10
0.01832 0 0.0008208 0.0195 0.1113 5.065e-11
0.01836 0 0.0008115 0.01918 0.1115 1.402e-11
0.01844 0 0.0007929 0.0186 0.1119 1.971e-12
0.01852 0 0.0007745 0.01808 0.1123 2.847e-13
0.01859 0 0.0007567 0.01761 0.1126 4.234e-14
0.01867 0 0.0007395 0.01718 0.113 6.583e-15
0.01875 0 0.0007231 0.01678 0.1133 1.156e-15
0.01883 0 0.0007075 0.01642 0.1136 3.004e-16
0.01891 0 0.0006927 0.01607 0.1139 1.534e-16
0.01898 0 0.0006786 0.01575 0.1142 1.201e-16
0.01906 0 0.0006652 0.01544 0.1144 1.065e-16
0.01922 0 0.0006405 0.01489 0.1149 9.021e-17
0.01938 0 0.0006181 0.01438 0.1153 7.813e-17
0.01953 0 0.0005978 0.01393 0.1156 6.87e-17
0.01969 0 0.0005792 0.01352 0.116 6.118e-17
0.01984 0 0.0005622 0.01314 0.1163 5.51e-17
0.02 0 0.0005466 0.01279 0.1165 5.011e-17
0.02031 0 0.0005192 0.01218 0.117 4.256e-17
0.02063 0 0.0004956 0.01166 0.1174 3.707e-17
0.02094 0 0.000475 0.0112 0.1177 3.296e-17
0.02125 0 0.000457 0.01079 0.118 2.982e-17
0.02188 0 0.0004276 0.01014 0.1184 2.545e-17
0.0225 0 0.0004039 0.009607 0.1188 2.251e-17
0.02312 0 0.0003844 0.009166 0.1191 2.044e-17
0.02375 0 0.0003682 0.008797 0.1193 1.892e-17
0.025 0 0.000344 0.008248 0.1197 1.694e-17
0.02625 0 0.0003259 0.007832 0.12 1.565e-17
0.0275 0 0.0003121 0.007512 0.1202 1.477e-17
0.02875 0 0.0003014 0.007261 0.1203 1.414e-17
0.03 0 0.000293 0.007063 0.1204 1.367e-17
0.03125 0 0.0002863 0.006904 0.1205 1.332e-17
0.0325 0 0.0002809 0.006776 0.1206 1.305e-17
0.03375 0 0.0002766 0.006673 0.1207 1.283e-17
0.035 0 0.0002731 0.006589 0.1207 1.267e-17
0.03625 0 0.0002703 0.00652 0.1207 1.253e-17
0.0375 0 0.000268 0.006463 0.1208 1.243e-17
0.03875 0 0.0002661 0.006417 0.1208 1.234e-17
0.04 0 0.0002646 0.006378 0.1208 1.228e-17
0.04125 0 0.0002633 0.006346 0.1208 1.222e-17
0.0425 0 0.0002623 0.00632 0.1209 1.218e-17
0.04375 0 0.0002614 0.006297 0.1209 1.214e-17
0.045 0 0.0002607 0.006279 0.1209 1.212e-17
0.04625 0 0.0002602 0.006263 0.1209 1.21e-17
0.0475 0 0.0002598 0.006251 0.1209 1.208e-17
0.05 0 0.0002598 0.006251 0.1209 1.208e-17
-------------------------------------------------------------------------------
z CO CO2 N2 H O
-------------------------------------------------------------------------------
0 2.339e-18 1.874e-20 0.7247 -5.39e-20 -1.233e-19
0.005 2.16e-16 2.266e-18 0.7247 7.095e-25 -6.433e-18
0.01 1.946e-14 2.43e-16 0.7247 8.237e-25 -3.038e-18
0.0125 6.88e-13 1.119e-14 0.7247 6.048e-24 1.027e-16
0.01375 1.247e-11 2.627e-13 0.7247 1.712e-23 1.395e-15
0.015 2.933e-10 8.053e-12 0.7247 4.124e-23 2.225e-14
0.01562 2.838e-09 9.951e-11 0.7247 1.121e-22 1.511e-13
0.01594 1.501e-08 6.593e-10 0.7247 6.428e-22 5.749e-13
0.01625 9.663e-08 5.414e-09 0.7247 1.299e-20 2.562e-12
0.01656 6.443e-07 4.58e-08 0.7246 5.064e-19 1.188e-11
0.01672 2.09e-06 1.795e-07 0.7246 6.936e-18 2.953e-11
0.01688 7.662e-06 8.137e-07 0.7246 1.141e-16 8.011e-11
0.01695 1.64e-05 2.02e-06 0.7245 6.59e-16 1.422e-10
0.01703 3.753e-05 5.472e-06 0.7245 3.909e-15 2.661e-10
0.01707 5.929e-05 9.597e-06 0.7244 1.075e-14 3.781e-10
0.01711 9.631e-05 1.751e-05 0.7244 3.048e-14 5.524e-10
0.01715 0.000159 3.263e-05 0.7243 9.004e-14 8.313e-10
0.01719 0.0002644 6.125e-05 0.7242 2.795e-13 1.297e-09
0.01721 0.0003436 8.496e-05 0.7241 5.215e-13 1.666e-09
0.01723 0.0004486 0.0001188 0.724 1.003e-12 2.177e-09
0.01725 0.0005872 0.0001669 0.7239 2.007e-12 2.901e-09
0.01727 0.0007687 0.0002345 0.7238 4.186e-12 3.95e-09
0.01728 0.0008801 0.0002783 0.7237 6.254e-12 4.667e-09
0.01729 0.001008 0.0003305 0.7236 9.481e-12 5.554e-09
0.01729 0.001154 0.0003926 0.7235 1.466e-11 6.658e-09
0.0173 0.00132 0.0004662 0.7234 2.323e-11 8.042e-09
0.01731 0.00151 0.0005529 0.7233 3.786e-11 9.79e-09
0.01732 0.001724 0.0006546 0.7232 6.384e-11 1.201e-08
0.01733 0.001966 0.0007735 0.723 1.119e-10 1.486e-08
0.01734 0.002238 0.0009117 0.7229 2.043e-10 1.854e-08
0.01735 0.002542 0.001072 0.7228 3.863e-10 2.333e-08
0.01736 0.002881 0.001256 0.7227 7.483e-10 2.96e-08
0.01737 0.003065 0.001358 0.7226 1.063e-09 3.349e-08
0.01737 0.003259 0.001467 0.7225 1.503e-09 3.798e-08
0.01738 0.003463 0.001584 0.7224 2.117e-09 4.316e-08
0.01738 0.003677 0.001709 0.7224 2.971e-09 4.915e-08
0.01739 0.003903 0.001843 0.7223 4.148e-09 5.608e-08
0.01739 0.00414 0.001985 0.7222 5.753e-09 6.412e-08
0.0174 0.004388 0.002137 0.7222 7.922e-09 7.344e-08
0.0174 0.004649 0.002298 0.7221 1.082e-08 8.426e-08
0.01741 0.004921 0.002469 0.722 1.466e-08 9.683e-08
0.01741 0.005206 0.002651 0.722 1.968e-08 1.114e-07
0.01742 0.005504 0.002843 0.7219 2.618e-08 1.284e-07
0.01742 0.005814 0.003046 0.7218 3.452e-08 1.481e-07
0.01743 0.006138 0.003261 0.7218 4.509e-08 1.71e-07
0.01743 0.006475 0.003487 0.7217 5.837e-08 1.977e-07
0.01744 0.006826 0.003726 0.7217 7.489e-08 2.287e-07
0.01744 0.007191 0.003978 0.7216 9.527e-08 2.647e-07
0.01745 0.00757 0.004242 0.7216 1.202e-07 3.066e-07
0.01745 0.007963 0.00452 0.7215 1.503e-07 3.553e-07
0.01746 0.008371 0.004812 0.7215 1.866e-07 4.12e-07
0.01746 0.008794 0.005118 0.7214 2.298e-07 4.779e-07
0.01747 0.009232 0.005438 0.7214 2.81e-07 5.548e-07
0.01747 0.009684 0.005773 0.7214 3.411e-07 6.443e-07
0.01748 0.01015 0.006123 0.7213 4.113e-07 7.485e-07
0.01748 0.01064 0.006489 0.7213 4.926e-07 8.701e-07
0.01749 0.01113 0.006871 0.7213 5.863e-07 1.012e-06
0.01749 0.01165 0.007269 0.7213 6.936e-07 1.177e-06
0.0175 0.01218 0.007684 0.7212 8.157e-07 1.369e-06
0.0175 0.01272 0.008116 0.7212 9.54e-07 1.593e-06
0.0175 0.01329 0.008565 0.7212 1.11e-06 1.853e-06
0.01751 0.01386 0.009032 0.7212 1.285e-06 2.155e-06
0.01751 0.01446 0.009517 0.7212 1.48e-06 2.504e-06
0.01752 0.01507 0.01002 0.7213 1.698e-06 2.908e-06
0.01752 0.0157 0.01054 0.7213 1.94e-06 3.373e-06
0.01753 0.01634 0.01108 0.7213 2.207e-06 3.909e-06
0.01753 0.017 0.01164 0.7213 2.503e-06 4.523e-06
0.01754 0.01767 0.01222 0.7214 2.829e-06 5.225e-06
0.01754 0.01836 0.01282 0.7214 3.188e-06 6.026e-06
0.01755 0.01907 0.01344 0.7214 3.584e-06 6.938e-06
0.01755 0.01979 0.01408 0.7215 4.019e-06 7.971e-06
0.01756 0.02052 0.01474 0.7215 4.498e-06 9.141e-06
0.01756 0.02127 0.01543 0.7216 5.024e-06 1.046e-05
0.01757 0.02204 0.01613 0.7217 5.602e-06 1.195e-05
0.01757 0.02282 0.01685 0.7217 6.238e-06 1.362e-05
0.01758 0.02362 0.0176 0.7218 6.937e-06 1.55e-05
0.01758 0.02442 0.01837 0.7219 7.704e-06 1.76e-05
0.01759 0.02524 0.01916 0.722 8.548e-06 1.995e-05
0.01759 0.02608 0.01997 0.7221 9.474e-06 2.257e-05
0.0176 0.02692 0.02081 0.7222 1.049e-05 2.549e-05
0.0176 0.02777 0.02167 0.7223 1.161e-05 2.875e-05
0.01761 0.02863 0.02255 0.7224 1.283e-05 3.237e-05
0.01761 0.02951 0.02345 0.7225 1.416e-05 3.638e-05
0.01762 0.03038 0.02437 0.7226 1.563e-05 4.084e-05
0.01762 0.03126 0.02532 0.7228 1.722e-05 4.577e-05
0.01763 0.03215 0.02629 0.7229 1.896e-05 5.123e-05
0.01763 0.03304 0.02728 0.723 2.085e-05 5.727e-05
0.01764 0.03392 0.02829 0.7232 2.29e-05 6.393e-05
0.01764 0.03481 0.02932 0.7233 2.513e-05 7.128e-05
0.01765 0.03569 0.03037 0.7234 2.753e-05 7.938e-05
0.01765 0.03613 0.03091 0.7235 2.879e-05 8.373e-05
0.01765 0.03656 0.03145 0.7236 3.011e-05 8.829e-05
0.01765 0.03699 0.03199 0.7237 3.148e-05 9.308e-05
0.01766 0.03742 0.03254 0.7237 3.289e-05 9.809e-05
0.01766 0.03785 0.03309 0.7238 3.435e-05 0.0001033
0.01766 0.03828 0.03365 0.7239 3.586e-05 0.0001089
0.01766 0.0387 0.03421 0.724 3.743e-05 0.0001146
0.01767 0.03911 0.03478 0.724 3.904e-05 0.0001206
0.01767 0.03952 0.03535 0.7241 4.07e-05 0.000127
0.01767 0.03993 0.03592 0.7242 4.242e-05 0.0001336
0.01767 0.04033 0.0365 0.7243 4.419e-05 0.0001405
0.01768 0.04072 0.03708 0.7243 4.6e-05 0.0001477
0.01768 0.04111 0.03767 0.7244 4.787e-05 0.0001552
0.01768 0.0415 0.03826 0.7245 4.979e-05 0.0001631
0.01768 0.04187 0.03886 0.7246 5.176e-05 0.0001713
0.01769 0.04224 0.03945 0.7246 5.378e-05 0.0001799
0.01769 0.0426 0.04006 0.7247 5.584e-05 0.0001888
0.01769 0.04295 0.04066 0.7248 5.796e-05 0.0001982
0.01769 0.0433 0.04127 0.7248 6.012e-05 0.0002079
0.0177 0.04363 0.04188 0.7249 6.233e-05 0.000218
0.0177 0.04396 0.04249 0.725 6.458e-05 0.0002285
0.0177 0.04427 0.04311 0.7251 6.688e-05 0.0002395
0.0177 0.04458 0.04372 0.7251 6.922e-05 0.0002509
0.01771 0.04488 0.04434 0.7252 7.16e-05 0.0002627
0.01771 0.04516 0.04497 0.7253 7.401e-05 0.000275
0.01771 0.04544 0.04559 0.7253 7.647e-05 0.0002878
0.01771 0.0457 0.04622 0.7254 7.896e-05 0.000301
0.01771 0.04595 0.04685 0.7255 8.148e-05 0.0003147
0.01772 0.04619 0.04748 0.7255 8.404e-05 0.0003289
0.01772 0.04642 0.04811 0.7256 8.662e-05 0.0003436
0.01772 0.04663 0.04874 0.7256 8.923e-05 0.0003588
0.01772 0.04684 0.04937 0.7257 9.186e-05 0.0003744
0.01773 0.04703 0.05001 0.7258 9.452e-05 0.0003906
0.01773 0.0472 0.05064 0.7258 9.72e-05 0.0004073
0.01773 0.04737 0.05128 0.7259 9.989e-05 0.0004245
0.01773 0.04752 0.05192 0.7259 0.0001026 0.0004421
0.01774 0.04765 0.05255 0.726 0.0001053 0.0004603
0.01774 0.04778 0.05319 0.726 0.000108 0.000479
0.01774 0.04798 0.05446 0.7261 0.0001135 0.0005177
0.01775 0.04814 0.05574 0.7262 0.000119 0.0005584
0.01775 0.04824 0.05701 0.7263 0.0001245 0.0006008
0.01776 0.04829 0.05827 0.7264 0.0001299 0.0006447
0.01776 0.04828 0.05953 0.7265 0.0001353 0.0006902
0.01777 0.04826 0.06016 0.7265 0.0001379 0.0007133
0.01777 0.04823 0.06079 0.7265 0.0001406 0.0007368
0.01777 0.04819 0.06141 0.7266 0.0001432 0.0007605
0.01777 0.04813 0.06203 0.7266 0.0001458 0.0007845
0.01778 0.04806 0.06265 0.7266 0.0001484 0.0008087
0.01778 0.04799 0.06327 0.7267 0.0001509 0.000833
0.01778 0.0479 0.06388 0.7267 0.0001534 0.0008574
0.01778 0.0478 0.06449 0.7267 0.0001559 0.000882
0.01779 0.04769 0.0651 0.7267 0.0001583 0.0009066
0.01779 0.04757 0.06571 0.7268 0.0001608 0.0009313
0.01779 0.04744 0.06631 0.7268 0.0001631 0.000956
0.01779 0.04731 0.06691 0.7268 0.0001655 0.0009806
0.0178 0.04716 0.0675 0.7268 0.0001678 0.001005
0.0178 0.04701 0.0681 0.7268 0.0001701 0.00103
0.0178 0.04668 0.06927 0.7269 0.0001745 0.001078
0.01781 0.04632 0.07043 0.7269 0.0001787 0.001126
0.01781 0.04594 0.07157 0.7269 0.0001828 0.001173
0.01782 0.04554 0.07269 0.7269 0.0001867 0.001218
0.01782 0.04512 0.07379 0.7269 0.0001904 0.001263
0.01783 0.04469 0.07488 0.7269 0.0001939 0.001305
0.01783 0.04425 0.07595 0.7269 0.0001973 0.001346
0.01784 0.04379 0.07699 0.7269 0.0002005 0.001385
0.01784 0.04333 0.07802 0.7269 0.0002035 0.001422
0.01785 0.04287 0.07902 0.7269 0.0002063 0.001457
0.01785 0.0424 0.08001 0.7269 0.000209 0.00149
0.01786 0.04193 0.08097 0.7268 0.0002114 0.001522
0.01786 0.04146 0.08191 0.7268 0.0002138 0.001551
0.01787 0.04099 0.08283 0.7268 0.0002159 0.001578
0.01787 0.04053 0.08373 0.7268 0.0002179 0.001603
0.01788 0.04007 0.0846 0.7268 0.0002198 0.001626
0.01788 0.03962 0.08546 0.7267 0.0002215 0.001647
0.01789 0.03874 0.0871 0.7267 0.0002245 0.001685
0.0179 0.03788 0.08867 0.7266 0.000227 0.001715
0.01791 0.03706 0.09015 0.7265 0.000229 0.00174
0.01792 0.03628 0.09155 0.7265 0.0002306 0.00176
0.01793 0.03553 0.09288 0.7264 0.0002318 0.001775
0.01794 0.03481 0.09414 0.7263 0.0002327 0.001786
0.01795 0.03414 0.09532 0.7262 0.0002332 0.001794
0.01796 0.0335 0.09644 0.7262 0.0002335 0.001798
0.01797 0.03289 0.0975 0.7261 0.0002335 0.0018
0.01799 0.03177 0.09944 0.726 0.0002329 0.001797
0.01801 0.03078 0.1012 0.7259 0.0002316 0.001788
0.01803 0.02989 0.1027 0.7258 0.0002298 0.001775
0.01805 0.02909 0.1041 0.7257 0.0002277 0.001758
0.01809 0.02775 0.1064 0.7255 0.0002224 0.001718
0.01813 0.02667 0.1082 0.7254 0.0002165 0.001674
0.01816 0.02579 0.1097 0.7253 0.0002103 0.001628
0.0182 0.02507 0.1109 0.7252 0.000204 0.001582
0.01824 0.02446 0.112 0.7251 0.0001978 0.001537
0.01828 0.02395 0.1128 0.7251 0.0001917 0.001494
0.01832 0.02351 0.1135 0.725 0.0001857 0.001452
0.01836 0.02313 0.1142 0.725 0.00018 0.001412
0.01844 0.02251 0.1152 0.725 0.0001692 0.001336
0.01852 0.022 0.116 0.7249 0.0001593 0.001267
0.01859 0.02155 0.1168 0.7249 0.0001503 0.001203
0.01867 0.02116 0.1174 0.7249 0.0001421 0.001145
0.01875 0.0208 0.118 0.7249 0.0001346 0.001091
0.01883 0.02046 0.1185 0.7249 0.0001278 0.001042
0.01891 0.02015 0.119 0.7249 0.0001215 0.0009969
0.01898 0.01985 0.1195 0.7249 0.0001158 0.0009551
0.01906 0.01957 0.1199 0.7248 0.0001106 0.0009166
0.01922 0.01904 0.1208 0.7248 0.0001014 0.0008481
0.01938 0.01855 0.1216 0.7248 9.357e-05 0.0007887
0.01953 0.0181 0.1223 0.7248 8.678e-05 0.0007368
0.01969 0.01767 0.123 0.7248 8.086e-05 0.0006911
0.01984 0.01728 0.1236 0.7248 7.568e-05 0.0006507
0.02 0.01691 0.1242 0.7248 7.112e-05 0.0006148
0.02031 0.01625 0.1252 0.7248 6.356e-05 0.0005547
0.02063 0.01566 0.1262 0.7248 5.744e-05 0.0005054
0.02094 0.01514 0.127 0.7247 5.242e-05 0.0004644
0.02125 0.01467 0.1278 0.7247 4.824e-05 0.0004301
0.02188 0.01389 0.129 0.7247 4.188e-05 0.0003772
0.0225 0.01325 0.13 0.7247 3.712e-05 0.000337
0.02312 0.0127 0.1309 0.7247 3.345e-05 0.0003058
0.02375 0.01225 0.1316 0.7247 3.057e-05 0.000281
0.025 0.01155 0.1327 0.7247 2.654e-05 0.0002462
0.02625 0.01102 0.1335 0.7247 2.374e-05 0.0002216
0.0275 0.01061 0.1342 0.7247 2.171e-05 0.0002037
0.02875 0.01028 0.1347 0.7247 2.02e-05 0.0001904
0.03 0.01002 0.1351 0.7247 1.906e-05 0.0001802
0.03125 0.009817 0.1354 0.7247 1.818e-05 0.0001723
0.0325 0.009651 0.1357 0.7246 1.749e-05 0.0001661
0.03375 0.009517 0.1359 0.7246 1.695e-05 0.0001612
0.035 0.009408 0.1361 0.7246 1.651e-05 0.0001573
0.03625 0.009319 0.1362 0.7246 1.616e-05 0.0001541
0.0375 0.009247 0.1363 0.7246 1.588e-05 0.0001516
0.03875 0.009188 0.1364 0.7246 1.566e-05 0.0001495
0.04 0.009139 0.1365 0.7246 1.547e-05 0.0001478
0.04125 0.0091 0.1366 0.7246 1.532e-05 0.0001464
0.0425 0.009067 0.1366 0.7246 1.52e-05 0.0001453
0.04375 0.00904 0.1367 0.7246 1.509e-05 0.0001443
0.045 0.009018 0.1367 0.7246 1.501e-05 0.0001436
0.04625 0.009001 0.1367 0.7246 1.494e-05 0.0001429
0.0475 0.008988 0.1368 0.7246 1.489e-05 0.0001424
0.05 0.008988 0.1368 0.7246 1.489e-05 0.0001424
-------------------------------------------------------------------------------
z OH HO2 H2O2 C CH
-------------------------------------------------------------------------------
0 -1.689e-17 5.528e-20 -1.362e-18 2.188e-18 -2.182e-43
0.005 -6.014e-20 5.092e-18 3.149e-19 9.917e-25 7.795e-45
0.01 8.267e-22 2.849e-16 1.558e-16 4.519e-31 -2.269e-46
0.0125 8.561e-20 9.906e-15 5.583e-15 4.206e-37 2.402e-50
0.01375 9.317e-19 1.789e-13 1.016e-13 7.991e-43 3.391e-49
0.015 1.412e-17 4.198e-12 2.401e-12 1.549e-48 -2.418e-47
0.01562 1.024e-16 4.054e-11 2.332e-11 6.516e-54 3.233e-45
0.01594 6.316e-16 2.139e-10 1.237e-10 4.525e-54 2.339e-43
0.01625 1.136e-14 1.375e-09 7.999e-10 2.008e-51 3.433e-40
0.01656 3.411e-13 9.147e-09 5.353e-09 2.344e-48 1.678e-36
0.01672 3.842e-12 2.965e-08 1.741e-08 3.23e-46 6.746e-34
0.01688 4.073e-11 1.086e-07 6.393e-08 9.033e-44 3.191e-31
0.01695 1.767e-10 2.325e-07 1.367e-07 1.071e-41 1.438e-29
0.01703 7.227e-10 5.333e-07 3.122e-07 2.566e-39 6.555e-28
0.01707 1.569e-09 8.451e-07 4.913e-07 5.872e-38 5.517e-27
0.01711 3.349e-09 1.379e-06 7.929e-07 1.435e-36 4.799e-26
0.01715 7.021e-09 2.293e-06 1.296e-06 3.796e-35 4.341e-25
0.01719 1.441e-08 3.855e-06 2.12e-06 1.1e-33 4.125e-24
0.01721 2.085e-08 5.055e-06 2.719e-06 6.834e-33 1.388e-23
0.01723 3.018e-08 6.674e-06 3.49e-06 4.58e-32 4.898e-23
0.01725 4.372e-08 8.856e-06 4.472e-06 3.377e-31 1.835e-22
0.01727 6.353e-08 1.178e-05 5.703e-06 2.762e-30 7.351e-22
0.01728 7.702e-08 1.362e-05 6.425e-06 8.622e-30 1.552e-21
0.01729 9.36e-08 1.576e-05 7.226e-06 2.796e-29 3.359e-21
0.01729 1.14e-07 1.825e-05 8.109e-06 9.532e-29 7.5e-21
0.0173 1.393e-07 2.113e-05 9.076e-06 3.444e-28 1.734e-20
0.01731 1.707e-07 2.447e-05 1.013e-05 1.332e-27 4.173e-20
0.01732 2.098e-07 2.832e-05 1.126e-05 5.574e-27 1.051e-19
0.01733 2.587e-07 3.275e-05 1.247e-05 2.552e-26 2.785e-19
0.01734 3.2e-07 3.782e-05 1.374e-05 1.282e-25 7.784e-19
0.01735 3.973e-07 4.36e-05 1.508e-05 7.012e-25 2.285e-18
0.01736 4.954e-07 5.016e-05 1.646e-05 4.063e-24 6.976e-18
0.01737 5.545e-07 5.375e-05 1.717e-05 1.033e-23 1.256e-17
0.01737 6.215e-07 5.757e-05 1.788e-05 2.608e-23 2.261e-17
0.01738 6.974e-07 6.161e-05 1.859e-05 6.57e-23 4.074e-17
0.01738 7.834e-07 6.588e-05 1.931e-05 1.649e-22 7.347e-17
0.01739 8.809e-07 7.037e-05 2.002e-05 4.114e-22 1.323e-16
0.01739 9.915e-07 7.509e-05 2.073e-05 1.017e-21 2.378e-16
0.0174 1.117e-06 8.002e-05 2.144e-05 2.488e-21 4.257e-16
0.0174 1.259e-06 8.515e-05 2.214e-05 6.006e-21 7.579e-16
0.01741 1.42e-06 9.046e-05 2.282e-05 1.428e-20 1.341e-15
0.01741 1.602e-06 9.593e-05 2.349e-05 3.34e-20 2.352e-15
0.01742 1.807e-06 0.0001015 2.414e-05 7.674e-20 4.09e-15
0.01742 2.038e-06 0.0001072 2.477e-05 1.73e-19 7.04e-15
0.01743 2.297e-06 0.000113 2.538e-05 3.822e-19 1.198e-14
0.01743 2.586e-06 0.0001188 2.597e-05 8.271e-19 2.016e-14
0.01744 2.908e-06 0.0001246 2.653e-05 1.753e-18 3.348e-14
0.01744 3.265e-06 0.0001303 2.706e-05 3.636e-18 5.488e-14
0.01745 3.66e-06 0.0001358 2.756e-05 7.38e-18 8.876e-14
0.01745 4.094e-06 0.0001412 2.803e-05 1.466e-17 1.416e-13
0.01746 4.568e-06 0.0001463 2.846e-05 2.85e-17 2.227e-13
0.01746 5.084e-06 0.0001512 2.886e-05 5.426e-17 3.454e-13
0.01747 5.645e-06 0.0001558 2.923e-05 1.012e-16 5.284e-13
0.01747 6.249e-06 0.00016 2.955e-05 1.848e-16 7.972e-13
0.01748 6.9e-06 0.0001638 2.984e-05 3.31e-16 1.187e-12
0.01748 7.598e-06 0.0001672 3.009e-05 5.816e-16 1.744e-12
0.01749 8.345e-06 0.0001701 3.031e-05 1.004e-15 2.531e-12
0.01749 9.143e-06 0.0001726 3.048e-05 1.702e-15 3.631e-12
0.0175 9.996e-06 0.0001747 3.062e-05 2.84e-15 5.153e-12
0.0175 1.091e-05 0.0001764 3.071e-05 4.67e-15 7.239e-12
0.0175 1.189e-05 0.0001776 3.076e-05 7.574e-15 1.008e-11
0.01751 1.294e-05 0.0001785 3.077e-05 1.214e-14 1.392e-11
0.01751 1.407e-05 0.0001791 3.074e-05 1.924e-14 1.911e-11
0.01752 1.53e-05 0.0001794 3.067e-05 3.022e-14 2.608e-11
0.01752 1.664e-05 0.0001794 3.055e-05 4.712e-14 3.545e-11
0.01753 1.812e-05 0.0001793 3.039e-05 7.301e-14 4.805e-11
0.01753 1.974e-05 0.000179 3.018e-05 1.126e-13 6.501e-11
0.01754 2.155e-05 0.0001787 2.992e-05 1.731e-13 8.787e-11
0.01754 2.357e-05 0.0001784 2.962e-05 2.655e-13 1.188e-10
0.01755 2.583e-05 0.0001781 2.926e-05 4.067e-13 1.606e-10
0.01755 2.839e-05 0.0001778 2.885e-05 6.226e-13 2.174e-10
0.01756 3.127e-05 0.0001777 2.839e-05 9.528e-13 2.947e-10
0.01756 3.453e-05 0.0001777 2.788e-05 1.458e-12 3.999e-10
0.01757 3.823e-05 0.0001778 2.73e-05 2.233e-12 5.433e-10
0.01757 4.243e-05 0.0001782 2.667e-05 3.419e-12 7.389e-10
0.01758 4.719e-05 0.0001786 2.599e-05 5.236e-12 1.006e-09
0.01758 5.259e-05 0.0001793 2.524e-05 8.016e-12 1.369e-09
0.01759 5.872e-05 0.0001801 2.443e-05 1.226e-11 1.863e-09
0.01759 6.565e-05 0.000181 2.356e-05 1.874e-11 2.533e-09
0.0176 7.35e-05 0.000182 2.263e-05 2.859e-11 3.44e-09
0.0176 8.236e-05 0.0001831 2.165e-05 4.352e-11 4.663e-09
0.01761 9.235e-05 0.0001842 2.061e-05 6.607e-11 6.305e-09
0.01761 0.0001036 0.0001852 1.952e-05 9.996e-11 8.5e-09
0.01762 0.0001162 0.0001862 1.839e-05 1.506e-10 1.142e-08
0.01762 0.0001304 0.0001871 1.722e-05 2.26e-10 1.527e-08
0.01763 0.0001462 0.0001878 1.603e-05 3.372e-10 2.034e-08
0.01763 0.0001638 0.0001883 1.482e-05 5.002e-10 2.694e-08
0.01764 0.0001835 0.0001885 1.36e-05 7.373e-10 3.549e-08
0.01764 0.0002054 0.0001884 1.24e-05 1.079e-09 4.645e-08
0.01765 0.0002296 0.0001879 1.121e-05 1.565e-09 6.04e-08
0.01765 0.0002427 0.0001876 1.064e-05 1.883e-09 6.871e-08
0.01765 0.0002564 0.0001871 1.007e-05 2.259e-09 7.802e-08
0.01765 0.0002708 0.0001865 9.521e-06 2.703e-09 8.842e-08
0.01766 0.000286 0.0001858 8.983e-06 3.228e-09 1e-07
0.01766 0.0003019 0.000185 8.462e-06 3.846e-09 1.129e-07
0.01766 0.0003185 0.0001841 7.958e-06 4.571e-09 1.272e-07
0.01766 0.000336 0.0001831 7.473e-06 5.42e-09 1.43e-07
0.01767 0.0003543 0.0001819 7.008e-06 6.41e-09 1.605e-07
0.01767 0.0003734 0.0001806 6.563e-06 7.562e-09 1.797e-07
0.01767 0.0003934 0.0001792 6.14e-06 8.897e-09 2.007e-07
0.01767 0.0004143 0.0001777 5.738e-06 1.044e-08 2.237e-07
0.01768 0.0004361 0.0001761 5.359e-06 1.222e-08 2.488e-07
0.01768 0.0004588 0.0001743 5.003e-06 1.426e-08 2.76e-07
0.01768 0.0004826 0.0001724 4.668e-06 1.66e-08 3.055e-07
0.01768 0.0005073 0.0001704 4.356e-06 1.927e-08 3.374e-07
0.01769 0.000533 0.0001682 4.065e-06 2.229e-08 3.717e-07
0.01769 0.0005597 0.000166 3.795e-06 2.572e-08 4.084e-07
0.01769 0.0005875 0.0001636 3.546e-06 2.959e-08 4.477e-07
0.01769 0.0006164 0.0001612 3.317e-06 3.394e-08 4.895e-07
0.0177 0.0006463 0.0001586 3.105e-06 3.88e-08 5.339e-07
0.0177 0.0006773 0.0001559 2.912e-06 4.423e-08 5.807e-07
0.0177 0.0007094 0.0001532 2.735e-06 5.025e-08 6.301e-07
0.0177 0.0007427 0.0001503 2.573e-06 5.692e-08 6.818e-07
0.01771 0.000777 0.0001474 2.425e-06 6.427e-08 7.359e-07
0.01771 0.0008125 0.0001444 2.291e-06 7.233e-08 7.921e-07
0.01771 0.0008491 0.0001413 2.168e-06 8.114e-08 8.503e-07
0.01771 0.0008868 0.0001381 2.056e-06 9.072e-08 9.104e-07
0.01771 0.0009257 0.0001349 1.954e-06 1.011e-07 9.72e-07
0.01772 0.0009656 0.0001316 1.86e-06 1.123e-07 1.035e-06
0.01772 0.001007 0.0001283 1.775e-06 1.243e-07 1.099e-06
0.01772 0.001049 0.000125 1.696e-06 1.372e-07 1.164e-06
0.01772 0.001092 0.0001216 1.624e-06 1.509e-07 1.229e-06
0.01773 0.001136 0.0001182 1.557e-06 1.654e-07 1.294e-06
0.01773 0.001182 0.0001148 1.495e-06 1.806e-07 1.359e-06
0.01773 0.001228 0.0001114 1.437e-06 1.967e-07 1.423e-06
0.01773 0.001275 0.0001079 1.383e-06 2.134e-07 1.486e-06
0.01774 0.001323 0.0001045 1.332e-06 2.307e-07 1.548e-06
0.01774 0.001373 0.0001011 1.284e-06 2.487e-07 1.608e-06
0.01774 0.001474 9.442e-05 1.196e-06 2.861e-07 1.72e-06
0.01775 0.001577 8.784e-05 1.116e-06 3.247e-07 1.82e-06
0.01775 0.001684 8.145e-05 1.044e-06 3.638e-07 1.905e-06
0.01776 0.001793 7.53e-05 9.777e-07 4.023e-07 1.972e-06
0.01776 0.001904 6.941e-05 9.171e-07 4.393e-07 2.021e-06
0.01777 0.00196 6.657e-05 8.887e-07 4.569e-07 2.038e-06
0.01777 0.002016 6.382e-05 8.616e-07 4.737e-07 2.05e-06
0.01777 0.002072 6.114e-05 8.357e-07 4.896e-07 2.056e-06
0.01777 0.002129 5.855e-05 8.109e-07 5.045e-07 2.058e-06
0.01778 0.002185 5.604e-05 7.874e-07 5.183e-07 2.054e-06
0.01778 0.002242 5.362e-05 7.649e-07 5.31e-07 2.046e-06
0.01778 0.002298 5.129e-05 7.436e-07 5.423e-07 2.033e-06
0.01778 0.002355 4.904e-05 7.233e-07 5.524e-07 2.015e-06
0.01779 0.002411 4.688e-05 7.04e-07 5.61e-07 1.992e-06
0.01779 0.002467 4.48e-05 6.858e-07 5.682e-07 1.965e-06
0.01779 0.002522 4.282e-05 6.685e-07 5.739e-07 1.935e-06
0.01779 0.002577 4.092e-05 6.523e-07 5.781e-07 1.901e-06
0.0178 0.002632 3.91e-05 6.369e-07 5.808e-07 1.863e-06
0.0178 0.002687 3.736e-05 6.224e-07 5.82e-07 1.822e-06
0.0178 0.002794 3.414e-05 5.96e-07 5.8e-07 1.732e-06
0.01781 0.002898 3.123e-05 5.728e-07 5.724e-07 1.634e-06
0.01781 0.003 2.861e-05 5.524e-07 5.596e-07 1.53e-06
0.01782 0.003098 2.626e-05 5.346e-07 5.423e-07 1.423e-06
0.01782 0.003194 2.416e-05 5.192e-07 5.21e-07 1.314e-06
0.01783 0.003286 2.229e-05 5.058e-07 4.965e-07 1.205e-06
0.01783 0.003374 2.064e-05 4.943e-07 4.696e-07 1.099e-06
0.01784 0.003458 1.918e-05 4.843e-07 4.409e-07 9.969e-07
0.01784 0.003538 1.788e-05 4.757e-07 4.111e-07 8.993e-07
0.01785 0.003615 1.675e-05 4.683e-07 3.808e-07 8.072e-07
0.01785 0.003688 1.574e-05 4.619e-07 3.506e-07 7.212e-07
0.01786 0.003756 1.486e-05 4.563e-07 3.209e-07 6.415e-07
0.01786 0.003822 1.409e-05 4.514e-07 2.921e-07 5.683e-07
0.01787 0.003883 1.341e-05 4.472e-07 2.645e-07 5.016e-07
0.01787 0.003941 1.281e-05 4.434e-07 2.385e-07 4.412e-07
0.01788 0.003996 1.228e-05 4.4e-07 2.14e-07 3.867e-07
0.01788 0.004047 1.181e-05 4.369e-07 1.912e-07 3.38e-07
0.01789 0.00414 1.103e-05 4.315e-07 1.512e-07 2.568e-07
0.0179 0.004221 1.042e-05 4.267e-07 1.18e-07 1.934e-07
0.01791 0.004293 9.925e-06 4.223e-07 9.099e-08 1.445e-07
0.01792 0.004355 9.521e-06 4.181e-07 6.948e-08 1.073e-07
0.01793 0.004408 9.186e-06 4.14e-07 5.258e-08 7.917e-08
0.01794 0.004455 8.903e-06 4.099e-07 3.947e-08 5.813e-08
0.01795 0.004496 8.659e-06 4.058e-07 2.94e-08 4.247e-08
0.01796 0.00453 8.445e-06 4.018e-07 2.175e-08 3.087e-08
0.01797 0.00456 8.255e-06 3.977e-07 1.596e-08 2.23e-08
0.01799 0.004608 7.932e-06 3.894e-07 8.709e-09 1.191e-08
0.01801 0.004642 7.658e-06 3.813e-07 4.695e-09 6.31e-09
0.01803 0.004666 7.419e-06 3.733e-07 2.491e-09 3.306e-09
0.01805 0.004682 7.206e-06 3.654e-07 1.274e-09 1.675e-09
0.01809 0.004697 6.837e-06 3.505e-07 3.884e-10 5.082e-10
0.01813 0.004697 6.521e-06 3.367e-07 1.179e-10 1.545e-10
0.01816 0.004687 6.242e-06 3.241e-07 3.575e-11 4.715e-11
0.0182 0.004671 5.994e-06 3.125e-07 1.085e-11 1.446e-11
0.01824 0.00465 5.768e-06 3.018e-07 3.304e-12 4.458e-12
0.01828 0.004627 5.563e-06 2.92e-07 1.011e-12 1.383e-12
0.01832 0.004601 5.373e-06 2.83e-07 3.094e-13 4.289e-13
0.01836 0.004573 5.198e-06 2.747e-07 8.607e-14 1.205e-13
0.01844 0.004515 4.884e-06 2.598e-07 1.237e-14 1.726e-14
0.01852 0.004455 4.607e-06 2.468e-07 2.03e-15 2.586e-15
0.01859 0.004394 4.361e-06 2.354e-07 4.489e-16 4.333e-16
0.01867 0.004333 4.139e-06 2.253e-07 1.56e-16 1.041e-16
0.01875 0.004273 3.939e-06 2.162e-07 7.88e-17 4.912e-17
0.01883 0.004214 3.758e-06 2.08e-07 4.903e-17 3.727e-17
0.01891 0.004157 3.593e-06 2.007e-07 3.454e-17 3.29e-17
0.01898 0.004101 3.442e-06 1.939e-07 2.665e-17 3.019e-17
0.01906 0.004047 3.304e-06 1.878e-07 2.204e-17 2.806e-17
0.01922 0.003944 3.061e-06 1.771e-07 1.783e-17 2.471e-17
0.01938 0.003847 2.853e-06 1.679e-07 1.582e-17 2.205e-17
0.01953 0.003756 2.672e-06 1.599e-07 1.473e-17 1.987e-17
0.01969 0.003671 2.515e-06 1.529e-07 1.405e-17 1.806e-17
0.01984 0.003591 2.376e-06 1.468e-07 1.361e-17 1.652e-17
0.02 0.003517 2.254e-06 1.413e-07 1.329e-17 1.519e-17
0.02031 0.003383 2.052e-06 1.321e-07 1.289e-17 1.306e-17
0.02063 0.003263 1.887e-06 1.246e-07 1.266e-17 1.139e-17
0.02094 0.003157 1.751e-06 1.182e-07 1.253e-17 1.005e-17
0.02125 0.003062 1.637e-06 1.129e-07 1.244e-17 8.974e-18
0.02188 0.002903 1.464e-06 1.045e-07 1.233e-17 7.373e-18
0.0225 0.002772 1.333e-06 9.795e-08 1.224e-17 6.219e-18
0.02312 0.002661 1.231e-06 9.276e-08 1.216e-17 5.362e-18
0.02375 0.002568 1.15e-06 8.857e-08 1.208e-17 4.709e-18
0.025 0.002427 1.036e-06 8.251e-08 1.19e-17 3.83e-18
0.02625 0.002319 9.559e-07 7.81e-08 1.172e-17 3.246e-18
0.0275 0.002236 8.969e-07 7.479e-08 1.156e-17 2.84e-18
0.02875 0.002171 8.525e-07 7.225e-08 1.14e-17 2.548e-18
0.03 0.002119 8.184e-07 7.028e-08 1.127e-17 2.333e-18
0.03125 0.002077 7.918e-07 6.872e-08 1.115e-17 2.171e-18
0.0325 0.002044 7.709e-07 6.748e-08 1.106e-17 2.046e-18
0.03375 0.002017 7.542e-07 6.648e-08 1.097e-17 1.95e-18
0.035 0.001995 7.408e-07 6.568e-08 1.09e-17 1.874e-18
0.03625 0.001977 7.3e-07 6.502e-08 1.084e-17 1.814e-18
0.0375 0.001963 7.212e-07 6.449e-08 1.079e-17 1.766e-18
0.03875 0.00195 7.14e-07 6.405e-08 1.075e-17 1.727e-18
0.04 0.001941 7.081e-07 6.369e-08 1.071e-17 1.696e-18
0.04125 0.001932 7.033e-07 6.339e-08 1.068e-17 1.67e-18
0.0425 0.001926 6.993e-07 6.315e-08 1.066e-17 1.65e-18
0.04375 0.00192 6.959e-07 6.294e-08 1.064e-17 1.633e-18
0.045 0.001915 6.932e-07 6.277e-08 1.062e-17 1.619e-18
0.04625 0.001912 6.909e-07 6.263e-08 1.061e-17 1.608e-18
0.0475 0.001909 6.892e-07 6.252e-08 1.06e-17 1.6e-18
0.05 0.001909 6.892e-07 6.252e-08 1.06e-17 1.6e-18
-------------------------------------------------------------------------------
z CH2 CH2(S) CH3 HCO CH2O
-------------------------------------------------------------------------------
0 1.849e-19 8.121e-34 -3.379e-19 -1.446e-34 9.344e-20
0.005 1.728e-24 6.766e-32 -1.401e-17 -1.755e-32 3.978e-19
0.01 1.621e-29 -1.267e-37 7.701e-19 -2.384e-35 2.879e-17
0.0125 2.746e-33 1.149e-34 4.779e-16 3.89e-32 1.335e-15
0.01375 6.512e-31 2.088e-32 7.987e-15 1.232e-29 3.17e-14
0.015 2.525e-28 6.792e-30 1.715e-13 5.994e-27 9.832e-13
0.01562 1.879e-26 4.399e-28 1.531e-12 5.023e-25 1.228e-11
0.01594 5.24e-25 1.339e-26 7.557e-12 1.28e-23 8.221e-11
0.01625 3.796e-23 1.441e-24 4.523e-11 5.104e-22 6.824e-10
0.01656 5.6e-21 2.681e-22 2.807e-10 3.229e-20 5.833e-09
0.01672 1.832e-19 9.234e-21 8.595e-10 8.196e-19 2.303e-08
0.01688 6.494e-18 3.332e-19 2.93e-09 3.343e-17 1.052e-07
0.01695 5.647e-17 2.914e-18 5.91e-09 3.476e-16 2.62e-07
0.01703 4.85e-16 2.522e-17 1.25e-08 3.802e-15 7.118e-07
0.01707 1.568e-15 8.197e-17 1.869e-08 1.441e-14 1.248e-06
0.01711 5.072e-15 2.674e-16 2.847e-08 5.589e-14 2.276e-06
0.01715 1.629e-14 8.706e-16 4.397e-08 2.171e-13 4.231e-06
0.01719 5.191e-14 2.832e-15 6.905e-08 8.3e-13 7.903e-06
0.01721 9.529e-14 5.272e-15 8.826e-08 1.656e-12 1.091e-05
0.01723 1.774e-13 9.993e-15 1.147e-07 3.331e-12 1.518e-05
0.01725 3.364e-13 1.936e-14 1.519e-07 6.727e-12 2.117e-05
0.01727 6.521e-13 3.855e-14 2.059e-07 1.362e-11 2.948e-05
0.01728 9.246e-13 5.547e-14 2.431e-07 1.951e-11 3.48e-05
0.01729 1.324e-12 8.074e-14 2.894e-07 2.804e-11 4.109e-05
0.01729 1.915e-12 1.189e-13 3.477e-07 4.04e-11 4.85e-05
0.0173 2.798e-12 1.77e-13 4.213e-07 5.836e-11 5.717e-05
0.01731 4.133e-12 2.667e-13 5.152e-07 8.448e-11 6.726e-05
0.01732 6.169e-12 4.066e-13 6.354e-07 1.225e-10 7.896e-05
0.01733 9.313e-12 6.274e-13 7.904e-07 1.781e-10 9.242e-05
0.01734 1.422e-11 9.8e-13 9.909e-07 2.595e-10 0.0001078
0.01735 2.2e-11 1.551e-12 1.252e-06 3.789e-10 0.0001253
0.01736 3.449e-11 2.488e-12 1.592e-06 5.548e-10 0.0001451
0.01737 4.358e-11 3.178e-12 1.801e-06 6.73e-10 0.0001559
0.01737 5.528e-11 4.076e-12 2.041e-06 8.173e-10 0.0001674
0.01738 7.042e-11 5.25e-12 2.316e-06 9.936e-10 0.0001795
0.01738 9.008e-11 6.79e-12 2.632e-06 1.209e-09 0.0001922
0.01739 1.157e-10 8.816e-12 2.994e-06 1.473e-09 0.0002057
0.01739 1.491e-10 1.149e-11 3.409e-06 1.796e-09 0.0002199
0.0174 1.929e-10 1.501e-11 3.885e-06 2.192e-09 0.0002348
0.0174 2.5e-10 1.965e-11 4.429e-06 2.676e-09 0.0002503
0.01741 3.245e-10 2.576e-11 5.051e-06 3.27e-09 0.0002666
0.01741 4.216e-10 3.38e-11 5.763e-06 3.996e-09 0.0002837
0.01742 5.477e-10 4.432e-11 6.574e-06 4.885e-09 0.0003014
0.01742 7.106e-10 5.802e-11 7.499e-06 5.97e-09 0.0003198
0.01743 9.199e-10 7.578e-11 8.552e-06 7.294e-09 0.000339
0.01743 1.187e-09 9.864e-11 9.748e-06 8.907e-09 0.0003588
0.01744 1.527e-09 1.279e-10 1.11e-05 1.087e-08 0.0003793
0.01744 1.954e-09 1.649e-10 1.264e-05 1.325e-08 0.0004005
0.01745 2.488e-09 2.115e-10 1.438e-05 1.613e-08 0.0004222
0.01745 3.149e-09 2.695e-10 1.634e-05 1.962e-08 0.0004446
0.01746 3.962e-09 3.412e-10 1.855e-05 2.383e-08 0.0004676
0.01746 4.953e-09 4.29e-10 2.103e-05 2.889e-08 0.0004912
0.01747 6.151e-09 5.355e-10 2.382e-05 3.499e-08 0.0005152
0.01747 7.587e-09 6.637e-10 2.696e-05 4.232e-08 0.0005397
0.01748 9.296e-09 8.166e-10 3.047e-05 5.112e-08 0.0005646
0.01748 1.132e-08 9.977e-10 3.439e-05 6.166e-08 0.0005899
0.01749 1.369e-08 1.211e-09 3.879e-05 7.429e-08 0.0006154
0.01749 1.647e-08 1.46e-09 4.37e-05 8.943e-08 0.0006412
0.0175 1.971e-08 1.75e-09 4.919e-05 1.075e-07 0.0006671
0.0175 2.347e-08 2.087e-09 5.531e-05 1.292e-07 0.0006931
0.0175 2.785e-08 2.478e-09 6.214e-05 1.552e-07 0.000719
0.01751 3.294e-08 2.931e-09 6.976e-05 1.862e-07 0.0007447
0.01751 3.888e-08 3.458e-09 7.826e-05 2.233e-07 0.0007702
0.01752 4.585e-08 4.073e-09 8.772e-05 2.676e-07 0.0007953
0.01752 5.404e-08 4.794e-09 9.824e-05 3.205e-07 0.0008198
0.01753 6.374e-08 5.644e-09 0.0001099 3.836e-07 0.0008438
0.01753 7.528e-08 6.651e-09 0.0001229 4.587e-07 0.000867
0.01754 8.91e-08 7.851e-09 0.0001373 5.481e-07 0.0008894
0.01754 1.057e-07 9.29e-09 0.0001532 6.542e-07 0.0009109
0.01755 1.258e-07 1.102e-08 0.0001708 7.8e-07 0.0009314
0.01755 1.501e-07 1.312e-08 0.0001901 9.286e-07 0.0009508
0.01756 1.797e-07 1.566e-08 0.0002113 1.104e-06 0.0009691
0.01756 2.157e-07 1.875e-08 0.0002344 1.31e-06 0.0009861
0.01757 2.596e-07 2.251e-08 0.0002597 1.551e-06 0.001002
0.01757 3.13e-07 2.708e-08 0.0002871 1.833e-06 0.001016
0.01758 3.78e-07 3.265e-08 0.0003167 2.16e-06 0.001029
0.01758 4.57e-07 3.941e-08 0.0003486 2.539e-06 0.001041
0.01759 5.527e-07 4.761e-08 0.0003828 2.976e-06 0.001051
0.01759 6.684e-07 5.753e-08 0.0004192 3.477e-06 0.00106
0.0176 8.077e-07 6.949e-08 0.0004578 4.049e-06 0.001067
0.0176 9.747e-07 8.387e-08 0.0004984 4.698e-06 0.001073
0.01761 1.174e-06 1.011e-07 0.0005409 5.431e-06 0.001077
0.01761 1.41e-06 1.216e-07 0.000585 6.254e-06 0.00108
0.01762 1.689e-06 1.459e-07 0.0006305 7.172e-06 0.00108
0.01762 2.016e-06 1.745e-07 0.000677 8.19e-06 0.00108
0.01763 2.396e-06 2.081e-07 0.0007241 9.312e-06 0.001077
0.01763 2.835e-06 2.471e-07 0.0007714 1.054e-05 0.001073
0.01764 3.339e-06 2.923e-07 0.0008182 1.188e-05 0.001067
0.01764 3.912e-06 3.44e-07 0.0008641 1.332e-05 0.001059
0.01765 4.558e-06 4.029e-07 0.0009085 1.486e-05 0.00105
0.01765 4.909e-06 4.352e-07 0.0009298 1.567e-05 0.001044
0.01765 5.279e-06 4.694e-07 0.0009505 1.651e-05 0.001038
0.01765 5.668e-06 5.056e-07 0.0009705 1.736e-05 0.001032
0.01766 6.077e-06 5.438e-07 0.0009897 1.824e-05 0.001025
0.01766 6.504e-06 5.84e-07 0.001008 1.914e-05 0.001018
0.01766 6.95e-06 6.262e-07 0.001025 2.006e-05 0.001011
0.01766 7.414e-06 6.704e-07 0.001042 2.1e-05 0.001003
0.01767 7.896e-06 7.165e-07 0.001057 2.195e-05 0.0009943
0.01767 8.394e-06 7.646e-07 0.001071 2.292e-05 0.0009855
0.01767 8.908e-06 8.145e-07 0.001084 2.389e-05 0.0009763
0.01767 9.436e-06 8.662e-07 0.001095 2.488e-05 0.0009666
0.01768 9.978e-06 9.196e-07 0.001105 2.588e-05 0.0009565
0.01768 1.053e-05 9.746e-07 0.001114 2.688e-05 0.0009461
0.01768 1.109e-05 1.031e-06 0.001121 2.788e-05 0.0009353
0.01768 1.167e-05 1.089e-06 0.001126 2.888e-05 0.0009241
0.01769 1.224e-05 1.147e-06 0.00113 2.988e-05 0.0009125
0.01769 1.282e-05 1.207e-06 0.001133 3.087e-05 0.0009006
0.01769 1.341e-05 1.268e-06 0.001134 3.185e-05 0.0008883
0.01769 1.399e-05 1.328e-06 0.001133 3.281e-05 0.0008757
0.0177 1.457e-05 1.389e-06 0.00113 3.376e-05 0.0008627
0.0177 1.514e-05 1.45e-06 0.001126 3.469e-05 0.0008495
0.0177 1.57e-05 1.511e-06 0.00112 3.56e-05 0.0008359
0.0177 1.625e-05 1.571e-06 0.001113 3.647e-05 0.000822
0.01771 1.678e-05 1.63e-06 0.001104 3.732e-05 0.0008079
0.01771 1.73e-05 1.688e-06 0.001094 3.813e-05 0.0007935
0.01771 1.78e-05 1.745e-06 0.001082 3.89e-05 0.0007788
0.01771 1.827e-05 1.799e-06 0.001069 3.963e-05 0.0007639
0.01771 1.872e-05 1.851e-06 0.001054 4.032e-05 0.0007487
0.01772 1.913e-05 1.901e-06 0.001038 4.096e-05 0.0007334
0.01772 1.952e-05 1.949e-06 0.00102 4.154e-05 0.0007178
0.01772 1.987e-05 1.993e-06 0.001002 4.207e-05 0.0007021
0.01772 2.018e-05 2.034e-06 0.0009821 4.254e-05 0.0006862
0.01773 2.046e-05 2.071e-06 0.0009614 4.295e-05 0.0006701
0.01773 2.07e-05 2.105e-06 0.0009398 4.33e-05 0.0006539
0.01773 2.089e-05 2.134e-06 0.0009173 4.358e-05 0.0006376
0.01773 2.105e-05 2.16e-06 0.000894 4.38e-05 0.0006211
0.01774 2.116e-05 2.181e-06 0.00087 4.395e-05 0.0006046
0.01774 2.122e-05 2.197e-06 0.0008455 4.402e-05 0.0005881
0.01774 2.122e-05 2.217e-06 0.000795 4.396e-05 0.0005548
0.01775 2.104e-05 2.218e-06 0.0007433 4.362e-05 0.0005216
0.01775 2.07e-05 2.201e-06 0.0006911 4.3e-05 0.0004885
0.01776 2.02e-05 2.166e-06 0.000639 4.211e-05 0.0004558
0.01776 1.955e-05 2.114e-06 0.0005877 4.097e-05 0.0004236
0.01777 1.918e-05 2.082e-06 0.0005626 4.031e-05 0.0004078
0.01777 1.878e-05 2.047e-06 0.0005378 3.96e-05 0.0003922
0.01777 1.835e-05 2.009e-06 0.0005135 3.884e-05 0.0003768
0.01777 1.79e-05 1.968e-06 0.0004896 3.803e-05 0.0003616
0.01778 1.743e-05 1.923e-06 0.0004663 3.717e-05 0.0003467
0.01778 1.694e-05 1.877e-06 0.0004436 3.628e-05 0.000332
0.01778 1.644e-05 1.828e-06 0.0004215 3.535e-05 0.0003177
0.01778 1.592e-05 1.777e-06 0.0004 3.439e-05 0.0003036
0.01779 1.539e-05 1.725e-06 0.0003792 3.34e-05 0.0002899
0.01779 1.485e-05 1.671e-06 0.0003591 3.239e-05 0.0002765
0.01779 1.431e-05 1.616e-06 0.0003397 3.136e-05 0.0002635
0.01779 1.377e-05 1.56e-06 0.000321 3.032e-05 0.0002508
0.0178 1.323e-05 1.504e-06 0.000303 2.927e-05 0.0002385
0.0178 1.268e-05 1.448e-06 0.0002858 2.821e-05 0.0002265
0.0178 1.161e-05 1.335e-06 0.0002534 2.61e-05 0.0002038
0.01781 1.057e-05 1.223e-06 0.0002239 2.4e-05 0.0001827
0.01781 9.568e-06 1.115e-06 0.0001972 2.196e-05 0.0001631
0.01782 8.617e-06 1.01e-06 0.000173 1.998e-05 0.0001451
0.01782 7.722e-06 9.108e-07 0.0001514 1.809e-05 0.0001286
0.01783 6.888e-06 8.173e-07 0.0001321 1.629e-05 0.0001136
0.01783 6.118e-06 7.301e-07 0.0001149 1.461e-05 9.999e-05
0.01784 5.412e-06 6.494e-07 9.975e-05 1.304e-05 8.775e-05
0.01784 4.77e-06 5.753e-07 8.638e-05 1.16e-05 7.677e-05
0.01785 4.189e-06 5.077e-07 7.464e-05 1.027e-05 6.698e-05
0.01785 3.667e-06 4.466e-07 6.437e-05 9.064e-06 5.827e-05
0.01786 3.2e-06 3.915e-07 5.541e-05 7.972e-06 5.057e-05
0.01786 2.785e-06 3.421e-07 4.761e-05 6.989e-06 4.378e-05
0.01787 2.417e-06 2.981e-07 4.085e-05 6.11e-06 3.782e-05
0.01787 2.093e-06 2.591e-07 3.5e-05 5.327e-06 3.26e-05
0.01788 1.808e-06 2.247e-07 2.994e-05 4.633e-06 2.805e-05
0.01788 1.559e-06 1.944e-07 2.558e-05 4.021e-06 2.409e-05
0.01789 1.157e-06 1.451e-07 1.868e-05 3.02e-06 1.774e-05
0.0179 8.534e-07 1.076e-07 1.36e-05 2.256e-06 1.299e-05
0.01791 6.265e-07 7.928e-08 9.87e-06 1.679e-06 9.471e-06
0.01792 4.581e-07 5.816e-08 7.145e-06 1.247e-06 6.879e-06
0.01793 3.337e-07 4.249e-08 5.162e-06 9.265e-07 4.98e-06
0.01794 2.424e-07 3.092e-08 3.721e-06 6.897e-07 3.594e-06
0.01795 1.755e-07 2.241e-08 2.676e-06 5.157e-07 2.586e-06
0.01796 1.266e-07 1.618e-08 1.919e-06 3.882e-07 1.855e-06
0.01797 9.086e-08 1.161e-08 1.37e-06 2.947e-07 1.323e-06
0.01799 4.81e-08 6.142e-09 7.187e-07 1.82e-07 6.93e-07
0.01801 2.536e-08 3.231e-09 3.759e-07 1.213e-07 3.615e-07
0.01803 1.326e-08 1.682e-09 1.95e-07 8.821e-08 1.87e-07
0.01805 6.713e-09 8.477e-10 9.806e-08 6.954e-08 9.383e-08
0.01809 2.048e-09 2.558e-10 2.952e-08 5.388e-08 2.819e-08
0.01813 6.286e-10 7.748e-11 8.941e-09 4.685e-08 8.576e-09
0.01816 1.941e-10 2.358e-11 2.725e-09 4.27e-08 2.686e-09
0.0182 6.031e-11 7.223e-12 8.364e-10 3.966e-08 9.026e-10
0.01824 1.888e-11 2.228e-12 2.586e-10 3.715e-08 3.563e-10
0.01828 5.949e-12 6.92e-13 8.057e-11 3.499e-08 1.858e-10
0.01832 1.874e-12 2.149e-13 2.509e-11 3.307e-08 1.303e-10
0.01836 5.351e-13 6.046e-14 7.082e-12 3.134e-08 1.102e-10
0.01844 7.914e-14 8.707e-15 1.025e-12 2.837e-08 9.866e-11
0.01852 1.215e-14 1.301e-15 1.531e-13 2.585e-08 9.285e-11
0.01859 2.013e-15 2.1e-16 2.408e-14 2.369e-08 8.837e-11
0.01867 4.259e-16 4.356e-17 4.435e-15 2.182e-08 8.449e-11
0.01875 1.611e-16 1.637e-17 1.307e-15 2.017e-08 8.102e-11
0.01883 1.083e-16 1.091e-17 7.446e-16 1.871e-08 7.788e-11
0.01891 9.178e-17 9.087e-18 5.989e-16 1.742e-08 7.5e-11
0.01898 8.257e-17 8.008e-18 5.287e-16 1.626e-08 7.235e-11
0.01906 7.554e-17 7.173e-18 4.776e-16 1.523e-08 6.99e-11
0.01922 6.456e-17 5.886e-18 3.989e-16 1.346e-08 6.552e-11
0.01938 5.603e-17 4.922e-18 3.387e-16 1.199e-08 6.167e-11
0.01953 4.924e-17 4.183e-18 2.917e-16 1.076e-08 5.827e-11
0.01969 4.374e-17 3.605e-18 2.544e-16 9.728e-09 5.524e-11
0.01984 3.922e-17 3.147e-18 2.243e-16 8.846e-09 5.253e-11
0.02 3.546e-17 2.777e-18 1.998e-16 8.09e-09 5.009e-11
0.02031 2.968e-17 2.23e-18 1.63e-16 6.881e-09 4.591e-11
0.02063 2.539e-17 1.845e-18 1.367e-16 5.947e-09 4.242e-11
0.02094 2.213e-17 1.564e-18 1.173e-16 5.21e-09 3.946e-11
0.02125 1.958e-17 1.353e-18 1.026e-16 4.621e-09 3.694e-11
0.02188 1.597e-17 1.068e-18 8.255e-17 3.766e-09 3.296e-11
0.0225 1.348e-17 8.803e-19 6.933e-17 3.161e-09 2.987e-11
0.02312 1.168e-17 7.503e-19 6.013e-17 2.719e-09 2.742e-11
0.02375 1.034e-17 6.562e-19 5.348e-17 2.386e-09 2.544e-11
0.025 8.569e-18 5.354e-19 4.493e-17 1.944e-09 2.261e-11
0.02625 7.4e-18 4.581e-19 3.947e-17 1.654e-09 2.058e-11
0.0275 6.591e-18 4.057e-19 3.575e-17 1.453e-09 1.908e-11
0.02875 6.008e-18 3.685e-19 3.311e-17 1.31e-09 1.795e-11
0.03 5.577e-18 3.412e-19 3.116e-17 1.204e-09 1.708e-11
0.03125 5.25e-18 3.208e-19 2.97e-17 1.125e-09 1.64e-11
0.0325 5e-18 3.051e-19 2.858e-17 1.064e-09 1.587e-11
0.03375 4.804e-18 2.929e-19 2.771e-17 1.017e-09 1.544e-11
0.035 4.65e-18 2.833e-19 2.702e-17 9.794e-10 1.51e-11
0.03625 4.527e-18 2.758e-19 2.647e-17 9.499e-10 1.483e-11
0.0375 4.429e-18 2.697e-19 2.604e-17 9.263e-10 1.461e-11
0.03875 4.35e-18 2.648e-19 2.569e-17 9.073e-10 1.443e-11
0.04 4.286e-18 2.609e-19 2.54e-17 8.92e-10 1.429e-11
0.04125 4.234e-18 2.577e-19 2.517e-17 8.796e-10 1.417e-11
0.0425 4.192e-18 2.551e-19 2.499e-17 8.694e-10 1.407e-11
0.04375 4.158e-18 2.53e-19 2.484e-17 8.612e-10 1.399e-11
0.045 4.13e-18 2.513e-19 2.472e-17 8.545e-10 1.393e-11
0.04625 4.108e-18 2.499e-19 2.462e-17 8.491e-10 1.388e-11
0.0475 4.092e-18 2.489e-19 2.455e-17 8.45e-10 1.384e-11
0.05 4.092e-18 2.489e-19 2.455e-17 8.45e-10 1.384e-11
-------------------------------------------------------------------------------
z CH2OH CH3O CH3OH C2H C2H2
-------------------------------------------------------------------------------
0 1.754e-37 1.55e-30 5.972e-19 -1.048e-26 3.364e-19
0.005 2.16e-35 1.908e-28 6.289e-19 -2.933e-33 3.463e-19
0.01 -4.833e-37 7.932e-28 4.576e-18 -8.234e-40 1.487e-18
0.0125 1.3e-34 2.131e-24 1.894e-16 -2.769e-46 5.062e-17
0.01375 5.138e-32 8.099e-22 4.564e-15 4.64e-44 1.121e-15
0.015 2.591e-29 3.171e-19 1.44e-13 2.042e-41 3.254e-14
0.01562 2.247e-27 3.081e-17 1.829e-12 1.741e-39 3.826e-13
0.01594 6.146e-26 1.065e-15 1.243e-11 6.792e-38 2.42e-12
0.01625 3.304e-24 3.829e-14 1.049e-10 9.553e-36 1.891e-11
0.01656 4.239e-22 1.308e-12 9.116e-10 2.32e-33 1.523e-10
0.01672 1.63e-20 1.498e-11 3.651e-09 9.943e-32 5.739e-10
0.01688 7.721e-19 1.687e-10 1.696e-08 4.739e-30 2.49e-09
0.01695 8.381e-18 7.879e-10 4.282e-08 5.215e-29 5.989e-09
0.01703 9.402e-17 3.703e-09 1.183e-07 6.29e-28 1.566e-08
0.01707 3.607e-16 9.125e-09 2.1e-07 2.634e-27 2.685e-08
0.01711 1.415e-15 2.291e-08 3.883e-07 1.21e-26 4.779e-08
0.01715 5.551e-15 5.784e-08 7.333e-07 6.246e-26 8.675e-08
0.01719 2.137e-14 1.454e-07 1.394e-06 3.783e-25 1.587e-07
0.01721 4.279e-14 2.373e-07 1.946e-06 1.049e-24 2.17e-07
0.01723 8.628e-14 3.896e-07 2.741e-06 3.196e-24 2.99e-07
0.01725 1.746e-13 6.39e-07 3.873e-06 1.084e-23 4.135e-07
0.01727 3.537e-13 1.042e-06 5.472e-06 4.137e-23 5.72e-07
0.01728 5.068e-13 1.332e-06 6.511e-06 8.552e-23 6.736e-07
0.01729 7.285e-13 1.703e-06 7.753e-06 1.837e-22 7.937e-07
0.01729 1.05e-12 2.173e-06 9.23e-06 4.1e-22 9.352e-07
0.0173 1.517e-12 2.764e-06 1.098e-05 9.505e-22 1.101e-06
0.01731 2.197e-12 3.501e-06 1.304e-05 2.285e-21 1.296e-06
0.01732 3.189e-12 4.412e-06 1.545e-05 5.688e-21 1.522e-06
0.01733 4.641e-12 5.527e-06 1.827e-05 1.462e-20 1.784e-06
0.01734 6.775e-12 6.878e-06 2.153e-05 3.867e-20 2.087e-06
0.01735 9.929e-12 8.496e-06 2.529e-05 1.049e-19 2.435e-06
0.01736 1.462e-11 1.041e-05 2.959e-05 2.902e-19 2.832e-06
0.01737 1.782e-11 1.148e-05 3.196e-05 4.87e-19 3.052e-06
0.01737 2.176e-11 1.264e-05 3.449e-05 8.203e-19 3.286e-06
0.01738 2.664e-11 1.389e-05 3.718e-05 1.386e-18 3.536e-06
0.01738 3.271e-11 1.522e-05 4.004e-05 2.35e-18 3.802e-06
0.01739 4.028e-11 1.663e-05 4.307e-05 3.99e-18 4.085e-06
0.01739 4.977e-11 1.812e-05 4.628e-05 6.784e-18 4.386e-06
0.0174 6.171e-11 1.969e-05 4.967e-05 1.154e-17 4.705e-06
0.0174 7.677e-11 2.132e-05 5.324e-05 1.963e-17 5.043e-06
0.01741 9.583e-11 2.301e-05 5.699e-05 3.334e-17 5.402e-06
0.01741 1.2e-10 2.475e-05 6.091e-05 5.653e-17 5.78e-06
0.01742 1.508e-10 2.652e-05 6.502e-05 9.559e-17 6.18e-06
0.01742 1.9e-10 2.831e-05 6.93e-05 1.611e-16 6.602e-06
0.01743 2.399e-10 3.009e-05 7.374e-05 2.704e-16 7.046e-06
0.01743 3.035e-10 3.184e-05 7.834e-05 4.515e-16 7.514e-06
0.01744 3.844e-10 3.355e-05 8.309e-05 7.497e-16 8.006e-06
0.01744 4.872e-10 3.517e-05 8.798e-05 1.237e-15 8.522e-06
0.01745 6.174e-10 3.669e-05 9.299e-05 2.027e-15 9.064e-06
0.01745 7.82e-10 3.807e-05 9.81e-05 3.297e-15 9.633e-06
0.01746 9.893e-10 3.929e-05 0.0001033 5.32e-15 1.023e-05
0.01746 1.25e-09 4.032e-05 0.0001086 8.514e-15 1.085e-05
0.01747 1.575e-09 4.113e-05 0.0001139 1.351e-14 1.15e-05
0.01747 1.981e-09 4.17e-05 0.0001192 2.124e-14 1.218e-05
0.01748 2.484e-09 4.201e-05 0.0001245 3.311e-14 1.289e-05
0.01748 3.107e-09 4.205e-05 0.0001297 5.113e-14 1.364e-05
0.01749 3.875e-09 4.182e-05 0.0001349 7.826e-14 1.441e-05
0.01749 4.818e-09 4.131e-05 0.0001399 1.187e-13 1.522e-05
0.0175 5.973e-09 4.054e-05 0.0001449 1.786e-13 1.605e-05
0.0175 7.383e-09 3.952e-05 0.0001496 2.663e-13 1.693e-05
0.0175 9.1e-09 3.83e-05 0.0001542 3.941e-13 1.784e-05
0.01751 1.119e-08 3.688e-05 0.0001585 5.789e-13 1.878e-05
0.01751 1.371e-08 3.533e-05 0.0001626 8.443e-13 1.976e-05
0.01752 1.678e-08 3.367e-05 0.0001664 1.223e-12 2.078e-05
0.01752 2.048e-08 3.195e-05 0.0001699 1.762e-12 2.184e-05
0.01753 2.494e-08 3.022e-05 0.0001731 2.525e-12 2.294e-05
0.01753 3.032e-08 2.85e-05 0.0001759 3.6e-12 2.408e-05
0.01754 3.68e-08 2.683e-05 0.0001784 5.111e-12 2.527e-05
0.01754 4.46e-08 2.525e-05 0.0001805 7.227e-12 2.65e-05
0.01755 5.396e-08 2.376e-05 0.0001823 1.018e-11 2.777e-05
0.01755 6.52e-08 2.239e-05 0.0001837 1.429e-11 2.91e-05
0.01756 7.865e-08 2.114e-05 0.0001847 2.001e-11 3.047e-05
0.01756 9.475e-08 2.001e-05 0.0001853 2.791e-11 3.19e-05
0.01757 1.14e-07 1.899e-05 0.0001855 3.881e-11 3.339e-05
0.01757 1.369e-07 1.809e-05 0.0001852 5.379e-11 3.493e-05
0.01758 1.641e-07 1.729e-05 0.0001846 7.431e-11 3.653e-05
0.01758 1.963e-07 1.658e-05 0.0001836 1.023e-10 3.819e-05
0.01759 2.345e-07 1.595e-05 0.0001822 1.402e-10 3.993e-05
0.01759 2.795e-07 1.539e-05 0.0001803 1.915e-10 4.173e-05
0.0176 3.323e-07 1.489e-05 0.0001781 2.604e-10 4.361e-05
0.0176 3.941e-07 1.445e-05 0.0001754 3.525e-10 4.557e-05
0.01761 4.661e-07 1.404e-05 0.0001724 4.749e-10 4.761e-05
0.01761 5.496e-07 1.366e-05 0.000169 6.366e-10 4.975e-05
0.01762 6.459e-07 1.33e-05 0.0001653 8.491e-10 5.197e-05
0.01762 7.565e-07 1.296e-05 0.0001611 1.126e-09 5.43e-05
0.01763 8.826e-07 1.262e-05 0.0001567 1.486e-09 5.672e-05
0.01763 1.026e-06 1.228e-05 0.0001519 1.95e-09 5.925e-05
0.01764 1.186e-06 1.194e-05 0.0001469 2.543e-09 6.188e-05
0.01764 1.366e-06 1.159e-05 0.0001416 3.297e-09 6.461e-05
0.01765 1.566e-06 1.123e-05 0.0001361 4.246e-09 6.744e-05
0.01765 1.673e-06 1.104e-05 0.0001333 4.809e-09 6.889e-05
0.01765 1.785e-06 1.085e-05 0.0001304 5.438e-09 7.035e-05
0.01765 1.902e-06 1.065e-05 0.0001275 6.138e-09 7.184e-05
0.01766 2.024e-06 1.045e-05 0.0001245 6.916e-09 7.334e-05
0.01766 2.151e-06 1.024e-05 0.0001216 7.779e-09 7.486e-05
0.01766 2.282e-06 1.003e-05 0.0001186 8.735e-09 7.638e-05
0.01766 2.418e-06 9.813e-06 0.0001155 9.791e-09 7.791e-05
0.01767 2.557e-06 9.593e-06 0.0001125 1.095e-08 7.945e-05
0.01767 2.701e-06 9.367e-06 0.0001094 1.223e-08 8.099e-05
0.01767 2.849e-06 9.138e-06 0.0001064 1.363e-08 8.252e-05
0.01767 3e-06 8.904e-06 0.0001033 1.517e-08 8.403e-05
0.01768 3.154e-06 8.667e-06 0.0001003 1.684e-08 8.554e-05
0.01768 3.31e-06 8.426e-06 9.723e-05 1.866e-08 8.702e-05
0.01768 3.468e-06 8.182e-06 9.42e-05 2.063e-08 8.847e-05
0.01768 3.628e-06 7.935e-06 9.119e-05 2.276e-08 8.989e-05
0.01769 3.788e-06 7.686e-06 8.82e-05 2.506e-08 9.126e-05
0.01769 3.949e-06 7.436e-06 8.523e-05 2.752e-08 9.259e-05
0.01769 4.11e-06 7.184e-06 8.23e-05 3.017e-08 9.386e-05
0.01769 4.27e-06 6.932e-06 7.939e-05 3.299e-08 9.506e-05
0.0177 4.428e-06 6.68e-06 7.653e-05 3.599e-08 9.619e-05
0.0177 4.584e-06 6.428e-06 7.371e-05 3.917e-08 9.724e-05
0.0177 4.736e-06 6.177e-06 7.093e-05 4.253e-08 9.821e-05
0.0177 4.885e-06 5.928e-06 6.82e-05 4.607e-08 9.907e-05
0.01771 5.03e-06 5.681e-06 6.552e-05 4.977e-08 9.984e-05
0.01771 5.169e-06 5.437e-06 6.29e-05 5.364e-08 0.0001005
0.01771 5.303e-06 5.197e-06 6.033e-05 5.765e-08 0.000101
0.01771 5.429e-06 4.96e-06 5.782e-05 6.181e-08 0.0001014
0.01771 5.549e-06 4.727e-06 5.536e-05 6.609e-08 0.0001017
0.01772 5.66e-06 4.499e-06 5.297e-05 7.049e-08 0.0001019
0.01772 5.763e-06 4.276e-06 5.065e-05 7.497e-08 0.0001019
0.01772 5.857e-06 4.059e-06 4.838e-05 7.952e-08 0.0001017
0.01772 5.941e-06 3.848e-06 4.618e-05 8.412e-08 0.0001015
0.01773 6.015e-06 3.643e-06 4.405e-05 8.873e-08 0.000101
0.01773 6.078e-06 3.444e-06 4.198e-05 9.334e-08 0.0001004
0.01773 6.13e-06 3.252e-06 3.998e-05 9.792e-08 9.971e-05
0.01773 6.171e-06 3.068e-06 3.804e-05 1.024e-07 9.883e-05
0.01774 6.201e-06 2.89e-06 3.617e-05 1.068e-07 9.781e-05
0.01774 6.218e-06 2.719e-06 3.437e-05 1.111e-07 9.664e-05
0.01774 6.218e-06 2.399e-06 3.096e-05 1.192e-07 9.388e-05
0.01775 6.172e-06 2.108e-06 2.78e-05 1.265e-07 9.06e-05
0.01775 6.08e-06 1.846e-06 2.49e-05 1.327e-07 8.686e-05
0.01776 5.945e-06 1.61e-06 2.223e-05 1.376e-07 8.272e-05
0.01776 5.771e-06 1.401e-06 1.979e-05 1.412e-07 7.824e-05
0.01777 5.67e-06 1.305e-06 1.866e-05 1.424e-07 7.591e-05
0.01777 5.562e-06 1.215e-06 1.757e-05 1.433e-07 7.353e-05
0.01777 5.445e-06 1.131e-06 1.654e-05 1.438e-07 7.11e-05
0.01777 5.322e-06 1.052e-06 1.556e-05 1.439e-07 6.864e-05
0.01778 5.193e-06 9.785e-07 1.462e-05 1.436e-07 6.616e-05
0.01778 5.058e-06 9.095e-07 1.374e-05 1.429e-07 6.367e-05
0.01778 4.918e-06 8.452e-07 1.29e-05 1.419e-07 6.117e-05
0.01778 4.775e-06 7.851e-07 1.21e-05 1.405e-07 5.867e-05
0.01779 4.627e-06 7.291e-07 1.134e-05 1.388e-07 5.619e-05
0.01779 4.478e-06 6.77e-07 1.063e-05 1.368e-07 5.373e-05
0.01779 4.326e-06 6.284e-07 9.954e-06 1.345e-07 5.13e-05
0.01779 4.173e-06 5.833e-07 9.315e-06 1.319e-07 4.89e-05
0.0178 4.019e-06 5.413e-07 8.712e-06 1.291e-07 4.655e-05
0.0178 3.865e-06 5.022e-07 8.143e-06 1.26e-07 4.425e-05
0.0178 3.558e-06 4.324e-07 7.103e-06 1.193e-07 3.98e-05
0.01781 3.258e-06 3.721e-07 6.182e-06 1.119e-07 3.56e-05
0.01781 2.967e-06 3.201e-07 5.368e-06 1.042e-07 3.168e-05
0.01782 2.688e-06 2.753e-07 4.651e-06 9.621e-08 2.805e-05
0.01782 2.423e-06 2.367e-07 4.021e-06 8.818e-08 2.471e-05
0.01783 2.174e-06 2.035e-07 3.469e-06 8.025e-08 2.166e-05
0.01783 1.943e-06 1.748e-07 2.988e-06 7.253e-08 1.891e-05
0.01784 1.728e-06 1.501e-07 2.568e-06 6.514e-08 1.644e-05
0.01784 1.532e-06 1.288e-07 2.204e-06 5.815e-08 1.423e-05
0.01785 1.352e-06 1.105e-07 1.888e-06 5.161e-08 1.227e-05
0.01785 1.19e-06 9.468e-08 1.615e-06 4.557e-08 1.055e-05
0.01786 1.044e-06 8.108e-08 1.38e-06 4.002e-08 9.035e-06
0.01786 9.125e-07 6.938e-08 1.177e-06 3.499e-08 7.714e-06
0.01787 7.957e-07 5.932e-08 1.002e-06 3.045e-08 6.566e-06
0.01787 6.92e-07 5.067e-08 8.527e-07 2.639e-08 5.573e-06
0.01788 6.004e-07 4.324e-08 7.246e-07 2.278e-08 4.718e-06
0.01788 5.197e-07 3.687e-08 6.15e-07 1.96e-08 3.984e-06
0.01789 3.883e-07 2.684e-08 4.438e-07 1.441e-08 2.833e-06
0.0179 2.882e-07 1.949e-08 3.192e-07 1.047e-08 2e-06
0.01791 2.127e-07 1.411e-08 2.29e-07 7.54e-09 1.402e-06
0.01792 1.562e-07 1.019e-08 1.64e-07 5.381e-09 9.774e-07
0.01793 1.142e-07 7.343e-09 1.172e-07 3.812e-09 6.779e-07
0.01794 8.317e-08 5.28e-09 8.361e-08 2.682e-09 4.679e-07
0.01795 6.035e-08 3.787e-09 5.955e-08 1.874e-09 3.215e-07
0.01796 4.36e-08 2.708e-09 4.23e-08 1.3e-09 2.196e-07
0.01797 3.133e-08 1.927e-09 2.991e-08 8.936e-10 1.488e-07
0.01799 1.66e-08 1.005e-09 1.544e-08 4.366e-10 7.099e-08
0.01801 8.741e-09 5.226e-10 7.954e-09 2.112e-10 3.365e-08
0.01803 4.557e-09 2.694e-10 4.069e-09 1.007e-10 1.577e-08
0.01805 2.3e-09 1.346e-10 2.019e-09 4.577e-11 7.061e-09
0.01809 6.949e-10 4.008e-11 5.957e-10 1.193e-11 1.799e-09
0.01813 2.105e-10 1.2e-11 1.77e-10 3.117e-12 4.615e-10
0.01816 6.409e-11 3.616e-12 5.309e-11 8.181e-13 1.195e-10
0.0182 1.962e-11 1.098e-12 1.607e-11 2.164e-13 3.126e-11
0.01824 6.053e-12 3.365e-13 4.914e-12 5.781e-14 8.276e-12
0.01828 1.883e-12 1.039e-13 1.516e-12 1.56e-14 2.219e-12
0.01832 5.886e-13 3.217e-14 4.682e-13 4.233e-15 5.985e-13
0.01836 1.7e-13 9.082e-15 1.315e-13 1.029e-15 1.448e-13
0.01844 2.911e-14 1.366e-15 1.894e-14 1.265e-16 1.772e-14
0.01852 8.433e-15 2.612e-16 2.885e-15 1.613e-17 2.253e-15
0.01859 4.924e-15 9.322e-17 5.249e-16 2.131e-18 2.976e-16
0.01867 3.994e-15 6.221e-17 1.624e-16 2.919e-19 4.08e-17
0.01875 3.511e-15 5.249e-17 9.992e-17 4.141e-20 5.801e-18
0.01883 3.145e-15 4.674e-17 8.441e-17 6.103e-21 8.575e-19
0.01891 2.839e-15 4.22e-17 7.699e-17 9.534e-22 1.344e-19
0.01898 2.576e-15 3.834e-17 7.145e-17 1.757e-22 2.482e-20
0.01906 2.347e-15 3.499e-17 6.669e-17 5.021e-23 7.072e-21
0.01922 1.972e-15 2.95e-17 5.871e-17 2.884e-23 4.078e-21
0.01938 1.678e-15 2.518e-17 5.219e-17 2.509e-23 3.585e-21
0.01953 1.444e-15 2.173e-17 4.679e-17 2.29e-23 3.31e-21
0.01969 1.255e-15 1.894e-17 4.225e-17 2.11e-23 3.087e-21
0.01984 1.101e-15 1.665e-17 3.84e-17 1.956e-23 2.896e-21
0.02 9.731e-16 1.476e-17 3.511e-17 1.821e-23 2.73e-21
0.02031 7.79e-16 1.186e-17 2.987e-17 1.601e-23 2.458e-21
0.02063 6.377e-16 9.751e-18 2.582e-17 1.426e-23 2.242e-21
0.02094 5.323e-16 8.168e-18 2.264e-17 1.285e-23 2.066e-21
0.02125 4.519e-16 6.956e-18 2.009e-17 1.169e-23 1.92e-21
0.02188 3.42e-16 5.293e-18 1.639e-17 9.934e-24 1.696e-21
0.0225 2.696e-16 4.191e-18 1.377e-17 8.636e-24 1.527e-21
0.02312 2.197e-16 3.428e-18 1.185e-17 7.649e-24 1.395e-21
0.02375 1.841e-16 2.881e-18 1.04e-17 6.881e-24 1.291e-21
0.025 1.396e-16 2.195e-18 8.483e-18 5.812e-24 1.142e-21
0.02625 1.122e-16 1.77e-18 7.216e-18 5.075e-24 1.035e-21
0.0275 9.422e-17 1.491e-18 6.34e-18 4.548e-24 9.562e-22
0.02875 8.189e-17 1.298e-18 5.713e-18 4.161e-24 8.969e-22
0.03 7.311e-17 1.161e-18 5.251e-18 3.869e-24 8.515e-22
0.03125 6.668e-17 1.061e-18 4.903e-18 3.646e-24 8.161e-22
0.0325 6.186e-17 9.849e-19 4.637e-18 3.473e-24 7.883e-22
0.03375 5.818e-17 9.272e-19 4.43e-18 3.337e-24 7.662e-22
0.035 5.534e-17 8.824e-19 4.267e-18 3.23e-24 7.486e-22
0.03625 5.31e-17 8.473e-19 4.138e-18 3.144e-24 7.344e-22
0.0375 5.134e-17 8.195e-19 4.036e-18 3.075e-24 7.23e-22
0.03875 4.993e-17 7.974e-19 3.953e-18 3.02e-24 7.138e-22
0.04 4.88e-17 7.796e-19 3.886e-18 2.975e-24 7.063e-22
0.04125 4.789e-17 7.652e-19 3.832e-18 2.938e-24 7.002e-22
0.0425 4.715e-17 7.536e-19 3.788e-18 2.908e-24 6.953e-22
0.04375 4.655e-17 7.441e-19 3.753e-18 2.884e-24 6.913e-22
0.045 4.607e-17 7.365e-19 3.724e-18 2.865e-24 6.881e-22
0.04625 4.568e-17 7.303e-19 3.701e-18 2.849e-24 6.856e-22
0.0475 4.539e-17 7.258e-19 3.684e-18 2.838e-24 6.838e-22
0.05 4.539e-17 7.258e-19 3.684e-18 2.838e-24 6.838e-22
-------------------------------------------------------------------------------
z C2H3 C2H4 C2H5 C2H6 HCCO
-------------------------------------------------------------------------------
0 -3.04e-42 8.256e-19 1.894e-31 4.009e-19 6.076e-36
0.005 -3.514e-40 8.809e-19 2.424e-29 3.34e-19 4.609e-34
0.01 6.939e-41 7.446e-18 -1.572e-28 6.18e-18 4.437e-34
0.0125 2.28e-37 3.008e-16 -6.187e-27 2.964e-16 5.314e-33
0.01375 5.723e-35 6.93e-15 -1.086e-25 7.409e-15 1.472e-30
0.015 2.619e-32 2.089e-13 -2.338e-24 2.421e-13 6.814e-28
0.01562 2.317e-30 2.541e-12 3.122e-23 3.176e-12 5.438e-26
0.01594 9.311e-29 1.659e-11 5.293e-21 2.225e-11 1.31e-24
0.01625 1.345e-26 1.341e-10 3.918e-19 1.939e-10 4.571e-23
0.01656 3.355e-24 1.117e-09 2.844e-17 1.739e-09 1.735e-21
0.01672 1.465e-22 4.323e-09 7.85e-16 7.147e-09 1.751e-20
0.01688 6.997e-21 1.933e-08 1.655e-14 3.417e-08 2.721e-19
0.01695 7.55e-20 4.75e-08 1.386e-13 8.809e-08 1.803e-18
0.01703 8.494e-19 1.272e-07 9.961e-13 2.492e-07 1.634e-17
0.01707 3.296e-18 2.215e-07 3.315e-12 4.491e-07 6.069e-17
0.01711 1.329e-17 4.01e-07 1.063e-11 8.453e-07 2.431e-16
0.01715 5.513e-17 7.408e-07 3.348e-11 1.626e-06 1.013e-15
0.01719 2.346e-16 1.379e-06 1.035e-10 3.151e-06 4.275e-15
0.01721 5.061e-16 1.903e-06 1.914e-10 4.448e-06 9.135e-15
0.01723 1.124e-15 2.648e-06 3.544e-10 6.339e-06 1.989e-14
0.01725 2.569e-15 3.698e-06 6.552e-10 9.075e-06 4.399e-14
0.01727 6.059e-15 5.166e-06 1.208e-09 1.3e-05 9.851e-14
0.01728 9.49e-15 6.113e-06 1.659e-09 1.558e-05 1.494e-13
0.01729 1.505e-14 7.239e-06 2.283e-09 1.87e-05 2.279e-13
0.01729 2.415e-14 8.572e-06 3.147e-09 2.245e-05 3.498e-13
0.0173 3.921e-14 1.014e-05 4.343e-09 2.694e-05 5.397e-13
0.01731 6.443e-14 1.199e-05 5.998e-09 3.228e-05 8.366e-13
0.01732 1.071e-13 1.415e-05 8.287e-09 3.862e-05 1.302e-12
0.01733 1.799e-13 1.666e-05 1.146e-08 4.61e-05 2.033e-12
0.01734 3.057e-13 1.957e-05 1.585e-08 5.488e-05 3.185e-12
0.01735 5.251e-13 2.292e-05 2.194e-08 6.513e-05 5.002e-12
0.01736 9.112e-13 2.676e-05 3.037e-08 7.704e-05 7.87e-12
0.01737 1.208e-12 2.888e-05 3.582e-08 8.37e-05 9.905e-12
0.01737 1.605e-12 3.115e-05 4.226e-08 9.086e-05 1.247e-11
0.01738 2.14e-12 3.358e-05 4.987e-08 9.856e-05 1.571e-11
0.01738 2.859e-12 3.616e-05 5.886e-08 0.0001068 1.982e-11
0.01739 3.831e-12 3.891e-05 6.945e-08 0.0001157 2.5e-11
0.01739 5.144e-12 4.183e-05 8.193e-08 0.0001252 3.156e-11
0.0174 6.919e-12 4.494e-05 9.66e-08 0.0001353 3.986e-11
0.0174 9.318e-12 4.822e-05 1.138e-07 0.0001461 5.034e-11
0.01741 1.256e-11 5.171e-05 1.34e-07 0.0001576 6.357e-11
0.01741 1.693e-11 5.539e-05 1.575e-07 0.0001698 8.027e-11
0.01742 2.282e-11 5.927e-05 1.848e-07 0.0001828 1.013e-10
0.01742 3.072e-11 6.337e-05 2.166e-07 0.0001966 1.278e-10
0.01743 4.129e-11 6.768e-05 2.533e-07 0.0002111 1.61e-10
0.01743 5.537e-11 7.221e-05 2.955e-07 0.0002265 2.027e-10
0.01744 7.404e-11 7.697e-05 3.441e-07 0.0002428 2.549e-10
0.01744 9.869e-11 8.196e-05 3.996e-07 0.0002599 3.201e-10
0.01745 1.31e-10 8.718e-05 4.628e-07 0.0002778 4.015e-10
0.01745 1.732e-10 9.265e-05 5.346e-07 0.0002967 5.027e-10
0.01746 2.28e-10 9.836e-05 6.158e-07 0.0003165 6.285e-10
0.01746 2.988e-10 0.0001043 7.075e-07 0.0003371 7.848e-10
0.01747 3.895e-10 0.0001105 8.106e-07 0.0003587 9.786e-10
0.01747 5.053e-10 0.000117 9.264e-07 0.0003811 1.219e-09
0.01748 6.524e-10 0.0001237 1.056e-06 0.0004045 1.517e-09
0.01748 8.383e-10 0.0001307 1.202e-06 0.0004287 1.887e-09
0.01749 1.072e-09 0.0001379 1.365e-06 0.0004537 2.347e-09
0.01749 1.366e-09 0.0001454 1.547e-06 0.0004795 2.918e-09
0.0175 1.734e-09 0.0001532 1.751e-06 0.0005061 3.63e-09
0.0175 2.193e-09 0.0001612 1.98e-06 0.0005334 4.518e-09
0.0175 2.768e-09 0.0001695 2.238e-06 0.0005613 5.627e-09
0.01751 3.485e-09 0.000178 2.528e-06 0.0005897 7.015e-09
0.01751 4.383e-09 0.0001868 2.854e-06 0.0006186 8.756e-09
0.01752 5.508e-09 0.0001959 3.223e-06 0.0006478 1.094e-08
0.01752 6.923e-09 0.0002052 3.638e-06 0.0006772 1.369e-08
0.01753 8.707e-09 0.0002148 4.107e-06 0.0007067 1.714e-08
0.01753 1.096e-08 0.0002246 4.637e-06 0.0007361 2.148e-08
0.01754 1.383e-08 0.0002346 5.233e-06 0.0007651 2.694e-08
0.01754 1.748e-08 0.0002449 5.904e-06 0.0007936 3.379e-08
0.01755 2.214e-08 0.0002554 6.656e-06 0.0008214 4.238e-08
0.01755 2.811e-08 0.0002661 7.496e-06 0.0008482 5.314e-08
0.01756 3.577e-08 0.000277 8.43e-06 0.0008737 6.657e-08
0.01756 4.559e-08 0.0002881 9.463e-06 0.0008976 8.329e-08
0.01757 5.821e-08 0.0002993 1.06e-05 0.0009197 1.04e-07
0.01757 7.438e-08 0.0003107 1.184e-05 0.0009396 1.297e-07
0.01758 9.51e-08 0.0003222 1.318e-05 0.0009569 1.613e-07
0.01758 1.216e-07 0.0003337 1.462e-05 0.0009713 2e-07
0.01759 1.553e-07 0.0003453 1.615e-05 0.0009826 2.472e-07
0.01759 1.98e-07 0.0003569 1.777e-05 0.0009904 3.045e-07
0.0176 2.52e-07 0.0003685 1.945e-05 0.0009944 3.736e-07
0.0176 3.197e-07 0.0003799 2.118e-05 0.0009943 4.565e-07
0.01761 4.04e-07 0.0003911 2.294e-05 0.00099 5.551e-07
0.01761 5.082e-07 0.0004021 2.471e-05 0.0009812 6.719e-07
0.01762 6.36e-07 0.0004126 2.644e-05 0.0009679 8.091e-07
0.01762 7.912e-07 0.0004227 2.812e-05 0.00095 9.692e-07
0.01763 9.779e-07 0.0004322 2.971e-05 0.0009276 1.154e-06
0.01763 1.2e-06 0.000441 3.117e-05 0.0009008 1.367e-06
0.01764 1.461e-06 0.0004488 3.247e-05 0.0008698 1.61e-06
0.01764 1.764e-06 0.0004557 3.359e-05 0.000835 1.884e-06
0.01765 2.112e-06 0.0004613 3.449e-05 0.0007966 2.19e-06
0.01765 2.304e-06 0.0004636 3.485e-05 0.0007762 2.356e-06
0.01765 2.506e-06 0.0004655 3.514e-05 0.0007551 2.53e-06
0.01765 2.721e-06 0.000467 3.537e-05 0.0007334 2.713e-06
0.01766 2.946e-06 0.0004681 3.552e-05 0.0007112 2.905e-06
0.01766 3.183e-06 0.0004688 3.561e-05 0.0006884 3.104e-06
0.01766 3.43e-06 0.0004691 3.562e-05 0.0006652 3.312e-06
0.01766 3.687e-06 0.0004689 3.556e-05 0.0006416 3.528e-06
0.01767 3.954e-06 0.0004682 3.543e-05 0.0006178 3.752e-06
0.01767 4.229e-06 0.000467 3.522e-05 0.0005938 3.983e-06
0.01767 4.512e-06 0.0004653 3.494e-05 0.0005697 4.221e-06
0.01767 4.801e-06 0.0004631 3.459e-05 0.0005456 4.465e-06
0.01768 5.096e-06 0.0004604 3.417e-05 0.0005215 4.715e-06
0.01768 5.396e-06 0.0004571 3.367e-05 0.0004975 4.971e-06
0.01768 5.697e-06 0.0004534 3.311e-05 0.0004737 5.232e-06
0.01768 6e-06 0.0004491 3.249e-05 0.0004502 5.497e-06
0.01769 6.303e-06 0.0004442 3.181e-05 0.000427 5.765e-06
0.01769 6.603e-06 0.0004389 3.107e-05 0.0004042 6.035e-06
0.01769 6.9e-06 0.000433 3.028e-05 0.0003819 6.307e-06
0.01769 7.191e-06 0.0004267 2.944e-05 0.0003601 6.579e-06
0.0177 7.474e-06 0.0004198 2.856e-05 0.0003388 6.851e-06
0.0177 7.749e-06 0.0004125 2.764e-05 0.0003181 7.121e-06
0.0177 8.012e-06 0.0004047 2.669e-05 0.0002981 7.389e-06
0.0177 8.262e-06 0.0003964 2.57e-05 0.0002788 7.653e-06
0.01771 8.497e-06 0.0003878 2.47e-05 0.0002602 7.913e-06
0.01771 8.717e-06 0.0003788 2.368e-05 0.0002424 8.166e-06
0.01771 8.918e-06 0.0003694 2.264e-05 0.0002253 8.412e-06
0.01771 9.1e-06 0.0003597 2.16e-05 0.0002089 8.65e-06
0.01771 9.262e-06 0.0003497 2.055e-05 0.0001934 8.878e-06
0.01772 9.402e-06 0.0003395 1.951e-05 0.0001786 9.096e-06
0.01772 9.519e-06 0.000329 1.848e-05 0.0001646 9.302e-06
0.01772 9.612e-06 0.0003184 1.745e-05 0.0001514 9.495e-06
0.01772 9.682e-06 0.0003076 1.645e-05 0.000139 9.675e-06
0.01773 9.727e-06 0.0002967 1.546e-05 0.0001273 9.839e-06
0.01773 9.746e-06 0.0002857 1.45e-05 0.0001164 9.988e-06
0.01773 9.741e-06 0.0002747 1.356e-05 0.0001061 1.012e-05
0.01773 9.712e-06 0.0002636 1.266e-05 9.661e-05 1.023e-05
0.01774 9.657e-06 0.0002526 1.178e-05 8.776e-05 1.033e-05
0.01774 9.579e-06 0.0002417 1.094e-05 7.956e-05 1.041e-05
0.01774 9.354e-06 0.0002201 9.366e-06 6.501e-05 1.051e-05
0.01775 9.044e-06 0.0001991 7.941e-06 5.27e-05 1.053e-05
0.01775 8.661e-06 0.0001789 6.669e-06 4.238e-05 1.047e-05
0.01776 8.215e-06 0.0001598 5.548e-06 3.381e-05 1.033e-05
0.01776 7.719e-06 0.0001418 4.572e-06 2.677e-05 1.012e-05
0.01777 7.458e-06 0.0001332 4.136e-06 2.375e-05 9.991e-06
0.01777 7.189e-06 0.000125 3.732e-06 2.102e-05 9.843e-06
0.01777 6.914e-06 0.0001171 3.361e-06 1.858e-05 9.679e-06
0.01777 6.636e-06 0.0001096 3.019e-06 1.639e-05 9.5e-06
0.01778 6.355e-06 0.0001024 2.707e-06 1.443e-05 9.308e-06
0.01778 6.072e-06 9.547e-05 2.421e-06 1.268e-05 9.103e-06
0.01778 5.791e-06 8.892e-05 2.162e-06 1.113e-05 8.886e-06
0.01778 5.511e-06 8.27e-05 1.926e-06 9.75e-06 8.659e-06
0.01779 5.234e-06 7.681e-05 1.712e-06 8.527e-06 8.423e-06
0.01779 4.961e-06 7.124e-05 1.519e-06 7.446e-06 8.178e-06
0.01779 4.693e-06 6.598e-05 1.345e-06 6.491e-06 7.927e-06
0.01779 4.432e-06 6.103e-05 1.189e-06 5.649e-06 7.671e-06
0.0178 4.177e-06 5.639e-05 1.049e-06 4.909e-06 7.41e-06
0.0178 3.93e-06 5.202e-05 9.232e-07 4.26e-06 7.146e-06
0.0178 3.46e-06 4.414e-05 7.131e-07 3.201e-06 6.612e-06
0.01781 3.026e-06 3.727e-05 5.472e-07 2.392e-06 6.078e-06
0.01781 2.629e-06 3.133e-05 4.173e-07 1.778e-06 5.553e-06
0.01782 2.27e-06 2.622e-05 3.163e-07 1.316e-06 5.042e-06
0.01782 1.949e-06 2.186e-05 2.384e-07 9.69e-07 4.552e-06
0.01783 1.664e-06 1.815e-05 1.788e-07 7.107e-07 4.086e-06
0.01783 1.413e-06 1.502e-05 1.334e-07 5.191e-07 3.649e-06
0.01784 1.194e-06 1.238e-05 9.914e-08 3.778e-07 3.242e-06
0.01784 1.004e-06 1.018e-05 7.336e-08 2.74e-07 2.866e-06
0.01785 8.41e-07 8.34e-06 5.408e-08 1.98e-07 2.522e-06
0.01785 7.013e-07 6.815e-06 3.973e-08 1.427e-07 2.21e-06
0.01786 5.826e-07 5.554e-06 2.91e-08 1.026e-07 1.928e-06
0.01786 4.822e-07 4.515e-06 2.125e-08 7.354e-08 1.676e-06
0.01787 3.977e-07 3.662e-06 1.548e-08 5.257e-08 1.451e-06
0.01787 3.269e-07 2.963e-06 1.125e-08 3.748e-08 1.252e-06
0.01788 2.678e-07 2.392e-06 8.142e-09 2.661e-08 1.077e-06
0.01788 2.188e-07 1.926e-06 5.867e-09 1.879e-08 9.236e-07
0.01789 1.46e-07 1.254e-06 3.118e-09 9.621e-09 6.757e-07
0.0179 9.667e-08 8.124e-07 1.652e-09 4.9e-09 4.898e-07
0.01791 6.356e-08 5.239e-07 8.744e-10 2.486e-09 3.522e-07
0.01792 4.153e-08 3.366e-07 4.632e-10 1.257e-09 2.515e-07
0.01793 2.7e-08 2.155e-07 2.46e-10 6.341e-10 1.785e-07
0.01794 1.746e-08 1.376e-07 1.312e-10 3.193e-10 1.259e-07
0.01795 1.124e-08 8.752e-08 7.023e-11 1.603e-10 8.84e-08
0.01796 7.181e-09 5.536e-08 3.764e-11 7.985e-11 6.169e-08
0.01797 4.531e-09 3.459e-08 1.987e-11 3.844e-11 4.271e-08
0.01799 1.919e-09 1.445e-08 6.481e-12 1.063e-11 2.114e-08
0.01801 8.083e-10 6.02e-09 2.175e-12 2.92e-12 1.04e-08
0.01803 3.363e-10 2.484e-09 7.484e-13 7.935e-13 5.06e-09
0.01805 1.312e-10 9.622e-10 2.467e-13 1.912e-13 2.362e-09
0.01809 2.764e-11 2.013e-10 4.347e-14 2.112e-14 6.411e-10
0.01813 5.848e-12 4.247e-11 8.136e-15 2.343e-15 1.758e-10
0.01816 1.246e-12 9.05e-12 1.597e-15 2.718e-16 4.871e-11
0.0182 2.679e-13 1.949e-12 3.242e-16 3.439e-17 1.367e-11
0.01824 5.82e-14 4.248e-13 6.745e-17 4.92e-18 3.885e-12
0.01828 1.278e-14 9.363e-14 1.43e-17 8.043e-19 1.119e-12
0.01832 2.825e-15 2.077e-14 3.062e-18 1.467e-19 3.248e-13
0.01836 5.445e-16 4.01e-15 5.72e-19 2.478e-20 8.54e-14
0.01844 5.023e-17 3.736e-16 5.028e-20 2.059e-21 1.165e-14
0.01852 4.778e-18 3.586e-17 4.555e-21 1.8e-22 1.659e-15
0.01859 4.699e-19 3.545e-18 4.258e-22 1.64e-23 2.456e-16
0.01867 4.783e-20 3.605e-19 4.104e-23 1.551e-24 3.824e-17
0.01875 5.046e-21 3.77e-20 4.074e-24 1.516e-25 6.681e-18
0.01883 5.533e-22 4.05e-21 4.164e-25 1.529e-26 1.673e-18
0.01891 6.366e-23 4.471e-22 4.38e-26 1.591e-27 8.163e-19
0.01898 8.09e-24 5.085e-23 4.754e-27 1.717e-28 6.369e-19
0.01906 1.318e-24 5.185e-24 4.62e-28 1.712e-29 5.753e-19
0.01922 4.597e-25 4.727e-25 3.771e-29 1.778e-30 5.116e-19
0.01938 3.385e-25 2.104e-25 1.509e-29 8.397e-31 4.639e-19
0.01953 2.748e-25 1.643e-25 1.092e-29 6.064e-31 4.25e-19
0.01969 2.283e-25 1.37e-25 8.49e-30 4.634e-31 3.924e-19
0.01984 1.927e-25 1.164e-25 6.757e-30 3.628e-31 3.648e-19
0.02 1.649e-25 1.004e-25 5.475e-30 2.898e-31 3.411e-19
0.02031 1.253e-25 7.751e-26 3.778e-30 1.954e-31 3.028e-19
0.02063 9.846e-26 6.2e-26 2.728e-30 1.387e-31 2.727e-19
0.02094 7.96e-26 5.105e-26 2.046e-30 1.027e-31 2.486e-19
0.02125 6.589e-26 4.305e-26 1.585e-30 7.881e-32 2.288e-19
0.02188 4.804e-26 3.257e-26 1.037e-30 5.103e-32 1.99e-19
0.0225 3.688e-26 2.591e-26 7.275e-31 3.57e-32 1.768e-19
0.02312 2.947e-26 2.141e-26 5.394e-31 2.651e-32 1.597e-19
0.02375 2.432e-26 1.823e-26 4.179e-31 2.063e-32 1.463e-19
0.025 1.804e-26 1.425e-26 2.818e-31 1.408e-32 1.273e-19
0.02625 1.427e-26 1.178e-26 2.072e-31 1.05e-32 1.139e-19
0.0275 1.184e-26 1.014e-26 1.624e-31 8.345e-33 1.042e-19
0.02875 1.02e-26 9.001e-27 1.337e-31 6.959e-33 9.691e-20
0.03 9.038e-27 8.179e-27 1.143e-31 6.02e-33 9.136e-20
0.03125 8.195e-27 7.57e-27 1.006e-31 5.357e-33 8.705e-20
0.0325 7.567e-27 7.109e-27 9.077e-32 4.875e-33 8.369e-20
0.03375 7.09e-27 6.755e-27 8.345e-32 4.516e-33 8.102e-20
0.035 6.722e-27 6.479e-27 7.79e-32 4.243e-33 7.89e-20
0.03625 6.435e-27 6.261e-27 7.364e-32 4.033e-33 7.719e-20
0.0375 6.209e-27 6.089e-27 7.032e-32 3.869e-33 7.582e-20
0.03875 6.029e-27 5.951e-27 6.77e-32 3.74e-33 7.471e-20
0.04 5.885e-27 5.841e-27 6.563e-32 3.637e-33 7.381e-20
0.04125 5.769e-27 5.752e-27 6.398e-32 3.555e-33 7.308e-20
0.0425 5.676e-27 5.68e-27 6.265e-32 3.489e-33 7.248e-20
0.04375 5.601e-27 5.622e-27 6.158e-32 3.436e-33 7.199e-20
0.045 5.54e-27 5.575e-27 6.072e-32 3.394e-33 7.16e-20
0.04625 5.491e-27 5.538e-27 6.004e-32 3.36e-33 7.128e-20
0.0475 5.456e-27 5.512e-27 5.955e-32 3.336e-33 7.106e-20
0.05 5.456e-27 5.512e-27 5.955e-32 3.336e-33 7.106e-20
-------------------------------------------------------------------------------
z CH2CO HCCOH N NH NH2
-------------------------------------------------------------------------------
0 4.463e-19 1.334e-18 -1.137e-17 1.742e-18 7.131e-21
0.005 4.467e-19 1.334e-18 -1.9e-18 3.099e-21 4.6e-20
0.01 5.045e-19 1.334e-18 -3.18e-19 5.545e-24 2.28e-18
0.0125 3.583e-18 1.336e-18 -9.17e-20 2.029e-26 5.071e-17
0.01375 8.63e-17 1.381e-18 -4.011e-20 4.312e-27 5.878e-16
0.015 3.078e-15 3.013e-18 2.74e-20 9.267e-25 8.707e-15
0.01562 4.402e-14 2.535e-17 6.827e-19 4.063e-23 5.576e-14
0.01594 3.345e-13 1.838e-16 4.316e-18 6.014e-22 2.038e-13
0.01625 3.179e-12 1.735e-15 2.822e-17 1.16e-20 8.747e-13
0.01656 3.103e-11 1.693e-14 1.853e-16 2.34e-19 3.914e-12
0.01672 1.368e-10 7.46e-14 5.925e-16 1.586e-18 9.459e-12
0.01688 7.069e-10 3.856e-13 2.018e-15 1.339e-17 2.479e-11
0.01695 1.929e-09 1.052e-12 4.07e-15 6.033e-17 4.259e-11
0.01703 5.821e-09 3.175e-12 8.558e-15 3.159e-16 7.601e-11
0.01707 1.094e-08 5.966e-12 1.281e-14 9.417e-16 1.037e-10
0.01711 2.157e-08 1.176e-11 1.954e-14 2.841e-15 1.433e-10
0.01715 4.352e-08 2.374e-11 3.021e-14 8.919e-15 1.999e-10
0.01719 8.845e-08 4.825e-11 4.719e-14 2.897e-14 2.801e-10
0.01721 1.282e-07 6.992e-11 5.957e-14 5.684e-14 3.326e-10
0.01723 1.878e-07 1.025e-10 7.566e-14 1.102e-13 3.955e-10
0.01725 2.767e-07 1.509e-10 9.665e-14 2.133e-13 4.707e-10
0.01727 4.077e-07 2.224e-10 1.242e-13 4.12e-13 5.599e-10
0.01728 4.959e-07 2.705e-10 1.414e-13 5.8e-13 6.106e-10
0.01729 6.04e-07 3.294e-10 1.613e-13 8.142e-13 6.657e-10
0.01729 7.359e-07 4.013e-10 1.845e-13 1.14e-12 7.256e-10
0.0173 8.96e-07 4.886e-10 2.118e-13 1.59e-12 7.904e-10
0.01731 1.09e-06 5.942e-10 2.438e-13 2.212e-12 8.604e-10
0.01732 1.322e-06 7.21e-10 2.818e-13 3.064e-12 9.358e-10
0.01733 1.601e-06 8.727e-10 3.272e-13 4.227e-12 1.017e-09
0.01734 1.932e-06 1.053e-09 3.819e-13 5.802e-12 1.104e-09
0.01735 2.323e-06 1.266e-09 4.484e-13 7.924e-12 1.197e-09
0.01736 2.783e-06 1.517e-09 5.305e-13 1.076e-11 1.296e-09
0.01737 3.043e-06 1.658e-09 5.791e-13 1.253e-11 1.348e-09
0.01737 3.324e-06 1.811e-09 6.338e-13 1.457e-11 1.401e-09
0.01738 3.628e-06 1.977e-09 6.955e-13 1.691e-11 1.456e-09
0.01738 3.957e-06 2.155e-09 7.652e-13 1.96e-11 1.513e-09
0.01739 4.312e-06 2.348e-09 8.442e-13 2.268e-11 1.572e-09
0.01739 4.694e-06 2.556e-09 9.341e-13 2.619e-11 1.632e-09
0.0174 5.105e-06 2.779e-09 1.037e-12 3.02e-11 1.694e-09
0.0174 5.547e-06 3.018e-09 1.154e-12 3.476e-11 1.757e-09
0.01741 6.022e-06 3.275e-09 1.289e-12 3.994e-11 1.823e-09
0.01741 6.53e-06 3.549e-09 1.444e-12 4.58e-11 1.89e-09
0.01742 7.075e-06 3.843e-09 1.622e-12 5.242e-11 1.959e-09
0.01742 7.658e-06 4.157e-09 1.828e-12 5.988e-11 2.03e-09
0.01743 8.282e-06 4.491e-09 2.065e-12 6.828e-11 2.103e-09
0.01743 8.948e-06 4.848e-09 2.338e-12 7.77e-11 2.177e-09
0.01744 9.66e-06 5.228e-09 2.654e-12 8.825e-11 2.254e-09
0.01744 1.042e-05 5.632e-09 3.018e-12 1e-10 2.333e-09
0.01745 1.123e-05 6.062e-09 3.438e-12 1.132e-10 2.414e-09
0.01745 1.21e-05 6.519e-09 3.921e-12 1.278e-10 2.497e-09
0.01746 1.302e-05 7.004e-09 4.476e-12 1.441e-10 2.583e-09
0.01746 1.401e-05 7.52e-09 5.113e-12 1.62e-10 2.671e-09
0.01747 1.506e-05 8.067e-09 5.843e-12 1.819e-10 2.761e-09
0.01747 1.618e-05 8.648e-09 6.676e-12 2.039e-10 2.854e-09
0.01748 1.737e-05 9.266e-09 7.626e-12 2.28e-10 2.95e-09
0.01748 1.864e-05 9.922e-09 8.706e-12 2.545e-10 3.05e-09
0.01749 2e-05 1.062e-08 9.932e-12 2.837e-10 3.152e-09
0.01749 2.145e-05 1.136e-08 1.132e-11 3.155e-10 3.258e-09
0.0175 2.299e-05 1.215e-08 1.289e-11 3.504e-10 3.367e-09
0.0175 2.464e-05 1.3e-08 1.466e-11 3.884e-10 3.481e-09
0.0175 2.639e-05 1.389e-08 1.666e-11 4.299e-10 3.599e-09
0.01751 2.826e-05 1.486e-08 1.891e-11 4.75e-10 3.722e-09
0.01751 3.026e-05 1.588e-08 2.144e-11 5.24e-10 3.849e-09
0.01752 3.238e-05 1.698e-08 2.428e-11 5.772e-10 3.982e-09
0.01752 3.463e-05 1.817e-08 2.748e-11 6.349e-10 4.121e-09
0.01753 3.703e-05 1.944e-08 3.107e-11 6.974e-10 4.266e-09
0.01753 3.958e-05 2.08e-08 3.513e-11 7.651e-10 4.418e-09
0.01754 4.229e-05 2.228e-08 3.971e-11 8.383e-10 4.577e-09
0.01754 4.516e-05 2.388e-08 4.489e-11 9.174e-10 4.744e-09
0.01755 4.82e-05 2.56e-08 5.077e-11 1.003e-09 4.919e-09
0.01755 5.141e-05 2.748e-08 5.748e-11 1.095e-09 5.104e-09
0.01756 5.48e-05 2.952e-08 6.514e-11 1.195e-09 5.298e-09
0.01756 5.836e-05 3.174e-08 7.395e-11 1.303e-09 5.502e-09
0.01757 6.21e-05 3.417e-08 8.412e-11 1.419e-09 5.718e-09
0.01757 6.603e-05 3.682e-08 9.593e-11 1.544e-09 5.946e-09
0.01758 7.012e-05 3.973e-08 1.097e-10 1.68e-09 6.186e-09
0.01758 7.438e-05 4.292e-08 1.26e-10 1.826e-09 6.439e-09
0.01759 7.881e-05 4.642e-08 1.452e-10 1.984e-09 6.706e-09
0.01759 8.338e-05 5.028e-08 1.681e-10 2.154e-09 6.988e-09
0.0176 8.809e-05 5.454e-08 1.955e-10 2.338e-09 7.285e-09
0.0176 9.292e-05 5.923e-08 2.287e-10 2.536e-09 7.597e-09
0.01761 9.785e-05 6.441e-08 2.69e-10 2.749e-09 7.926e-09
0.01761 0.0001029 7.013e-08 3.182e-10 2.98e-09 8.272e-09
0.01762 0.0001079 7.644e-08 3.786e-10 3.228e-09 8.635e-09
0.01762 0.000113 8.342e-08 4.532e-10 3.496e-09 9.015e-09
0.01763 0.0001181 9.111e-08 5.455e-10 3.784e-09 9.413e-09
0.01763 0.0001231 9.959e-08 6.601e-10 4.093e-09 9.827e-09
0.01764 0.0001281 1.089e-07 8.025e-10 4.426e-09 1.026e-08
0.01764 0.0001328 1.192e-07 9.796e-10 4.783e-09 1.071e-08
0.01765 0.0001374 1.304e-07 1.2e-09 5.166e-09 1.117e-08
0.01765 0.0001396 1.364e-07 1.329e-09 5.367e-09 1.141e-08
0.01765 0.0001417 1.427e-07 1.474e-09 5.575e-09 1.165e-08
0.01765 0.0001438 1.493e-07 1.635e-09 5.79e-09 1.189e-08
0.01766 0.0001457 1.561e-07 1.813e-09 6.012e-09 1.214e-08
0.01766 0.0001476 1.633e-07 2.012e-09 6.241e-09 1.239e-08
0.01766 0.0001493 1.707e-07 2.231e-09 6.478e-09 1.264e-08
0.01766 0.000151 1.784e-07 2.475e-09 6.721e-09 1.289e-08
0.01767 0.0001525 1.864e-07 2.744e-09 6.973e-09 1.315e-08
0.01767 0.0001539 1.947e-07 3.041e-09 7.231e-09 1.34e-08
0.01767 0.0001552 2.033e-07 3.369e-09 7.497e-09 1.366e-08
0.01767 0.0001563 2.122e-07 3.729e-09 7.771e-09 1.392e-08
0.01768 0.0001573 2.213e-07 4.125e-09 8.052e-09 1.418e-08
0.01768 0.0001581 2.307e-07 4.559e-09 8.34e-09 1.444e-08
0.01768 0.0001588 2.404e-07 5.033e-09 8.636e-09 1.47e-08
0.01768 0.0001593 2.504e-07 5.551e-09 8.938e-09 1.496e-08
0.01769 0.0001597 2.605e-07 6.114e-09 9.248e-09 1.522e-08
0.01769 0.0001598 2.709e-07 6.725e-09 9.565e-09 1.547e-08
0.01769 0.0001599 2.814e-07 7.387e-09 9.889e-09 1.573e-08
0.01769 0.0001597 2.921e-07 8.103e-09 1.022e-08 1.598e-08
0.0177 0.0001593 3.029e-07 8.874e-09 1.056e-08 1.622e-08
0.0177 0.0001588 3.139e-07 9.701e-09 1.09e-08 1.647e-08
0.0177 0.0001581 3.248e-07 1.059e-08 1.125e-08 1.671e-08
0.0177 0.0001572 3.358e-07 1.154e-08 1.16e-08 1.694e-08
0.01771 0.0001561 3.468e-07 1.254e-08 1.196e-08 1.717e-08
0.01771 0.0001549 3.577e-07 1.361e-08 1.232e-08 1.739e-08
0.01771 0.0001534 3.685e-07 1.475e-08 1.269e-08 1.761e-08
0.01771 0.0001518 3.791e-07 1.594e-08 1.306e-08 1.781e-08
0.01771 0.0001501 3.895e-07 1.719e-08 1.343e-08 1.801e-08
0.01772 0.0001481 3.997e-07 1.851e-08 1.38e-08 1.82e-08
0.01772 0.0001461 4.095e-07 1.988e-08 1.418e-08 1.839e-08
0.01772 0.0001438 4.189e-07 2.13e-08 1.456e-08 1.856e-08
0.01772 0.0001414 4.279e-07 2.278e-08 1.493e-08 1.872e-08
0.01773 0.0001389 4.363e-07 2.43e-08 1.531e-08 1.888e-08
0.01773 0.0001363 4.443e-07 2.587e-08 1.569e-08 1.902e-08
0.01773 0.0001335 4.516e-07 2.747e-08 1.606e-08 1.915e-08
0.01773 0.0001307 4.582e-07 2.91e-08 1.643e-08 1.927e-08
0.01774 0.0001277 4.642e-07 3.076e-08 1.68e-08 1.938e-08
0.01774 0.0001246 4.694e-07 3.243e-08 1.716e-08 1.947e-08
0.01774 0.0001182 4.774e-07 3.581e-08 1.786e-08 1.962e-08
0.01775 0.0001116 4.82e-07 3.917e-08 1.854e-08 1.973e-08
0.01775 0.0001048 4.831e-07 4.244e-08 1.918e-08 1.977e-08
0.01776 9.796e-05 4.804e-07 4.555e-08 1.977e-08 1.977e-08
0.01776 9.107e-05 4.741e-07 4.845e-08 2.032e-08 1.971e-08
0.01777 8.765e-05 4.697e-07 4.979e-08 2.057e-08 1.966e-08
0.01777 8.425e-05 4.643e-07 5.105e-08 2.081e-08 1.96e-08
0.01777 8.089e-05 4.582e-07 5.223e-08 2.103e-08 1.952e-08
0.01777 7.756e-05 4.512e-07 5.332e-08 2.124e-08 1.944e-08
0.01778 7.428e-05 4.435e-07 5.432e-08 2.143e-08 1.934e-08
0.01778 7.105e-05 4.351e-07 5.521e-08 2.161e-08 1.923e-08
0.01778 6.788e-05 4.26e-07 5.601e-08 2.176e-08 1.91e-08
0.01778 6.478e-05 4.163e-07 5.67e-08 2.19e-08 1.897e-08
0.01779 6.174e-05 4.061e-07 5.728e-08 2.202e-08 1.882e-08
0.01779 5.878e-05 3.954e-07 5.776e-08 2.213e-08 1.867e-08
0.01779 5.59e-05 3.842e-07 5.813e-08 2.221e-08 1.851e-08
0.01779 5.31e-05 3.727e-07 5.839e-08 2.228e-08 1.833e-08
0.0178 5.038e-05 3.609e-07 5.855e-08 2.233e-08 1.815e-08
0.0178 4.775e-05 3.488e-07 5.86e-08 2.237e-08 1.796e-08
0.0178 4.276e-05 3.241e-07 5.84e-08 2.238e-08 1.755e-08
0.01781 3.813e-05 2.99e-07 5.782e-08 2.232e-08 1.712e-08
0.01781 3.387e-05 2.741e-07 5.69e-08 2.22e-08 1.667e-08
0.01782 2.996e-05 2.496e-07 5.568e-08 2.202e-08 1.619e-08
0.01782 2.64e-05 2.259e-07 5.419e-08 2.178e-08 1.57e-08
0.01783 2.319e-05 2.033e-07 5.249e-08 2.148e-08 1.52e-08
0.01783 2.029e-05 1.819e-07 5.062e-08 2.114e-08 1.469e-08
0.01784 1.77e-05 1.619e-07 4.862e-08 2.076e-08 1.418e-08
0.01784 1.539e-05 1.433e-07 4.654e-08 2.034e-08 1.367e-08
0.01785 1.334e-05 1.262e-07 4.44e-08 1.988e-08 1.316e-08
0.01785 1.153e-05 1.107e-07 4.225e-08 1.94e-08 1.265e-08
0.01786 9.94e-06 9.664e-08 4.01e-08 1.89e-08 1.215e-08
0.01786 8.547e-06 8.403e-08 3.799e-08 1.838e-08 1.165e-08
0.01787 7.332e-06 7.277e-08 3.593e-08 1.785e-08 1.117e-08
0.01787 6.275e-06 6.28e-08 3.393e-08 1.732e-08 1.069e-08
0.01788 5.358e-06 5.401e-08 3.202e-08 1.677e-08 1.023e-08
0.01788 4.567e-06 4.63e-08 3.02e-08 1.623e-08 9.785e-09
0.01789 3.311e-06 3.384e-08 2.682e-08 1.515e-08 8.929e-09
0.0179 2.386e-06 2.449e-08 2.383e-08 1.41e-08 8.13e-09
0.01791 1.709e-06 1.757e-08 2.121e-08 1.309e-08 7.391e-09
0.01792 1.219e-06 1.251e-08 1.893e-08 1.213e-08 6.709e-09
0.01793 8.652e-07 8.853e-09 1.696e-08 1.123e-08 6.085e-09
0.01794 6.118e-07 6.226e-09 1.526e-08 1.04e-08 5.514e-09
0.01795 4.31e-07 4.354e-09 1.379e-08 9.621e-09 4.995e-09
0.01796 3.022e-07 3.026e-09 1.252e-08 8.907e-09 4.523e-09
0.01797 2.105e-07 2.085e-09 1.142e-08 8.251e-09 4.096e-09
0.01799 1.056e-07 1.024e-09 9.664e-09 7.11e-09 3.363e-09
0.01801 5.268e-08 4.991e-10 8.318e-09 6.162e-09 2.765e-09
0.01803 2.603e-08 2.402e-10 7.274e-09 5.38e-09 2.278e-09
0.01805 1.24e-08 1.106e-10 6.456e-09 4.735e-09 1.881e-09
0.01809 3.465e-09 2.95e-11 5.327e-09 3.787e-09 1.308e-09
0.01813 9.75e-10 7.92e-12 4.599e-09 3.134e-09 9.234e-10
0.01816 2.769e-10 2.143e-12 4.123e-09 2.68e-09 6.629e-10
0.0182 7.948e-11 5.856e-13 3.811e-09 2.357e-09 4.853e-10
0.01824 2.308e-11 1.617e-13 3.606e-09 2.123e-09 3.634e-10
0.01828 6.782e-12 4.516e-14 3.471e-09 1.949e-09 2.792e-10
0.01832 2.003e-12 1.267e-14 3.383e-09 1.816e-09 2.205e-10
0.01836 5.395e-13 3.197e-15 3.325e-09 1.711e-09 1.794e-10
0.01844 7.51e-14 4.179e-16 3.272e-09 1.558e-09 1.33e-10
0.01852 1.08e-14 5.678e-17 3.256e-09 1.444e-09 1.089e-10
0.01859 1.605e-15 7.991e-18 3.26e-09 1.352e-09 9.617e-11
0.01867 2.476e-16 1.163e-18 3.274e-09 1.276e-09 8.936e-11
0.01875 4.112e-17 1.75e-19 3.293e-09 1.21e-09 8.568e-11
0.01883 8.626e-18 2.735e-20 3.315e-09 1.152e-09 8.367e-11
0.01891 3.224e-18 4.57e-21 3.338e-09 1.1e-09 8.258e-11
0.01898 2.178e-18 9.38e-22 3.361e-09 1.054e-09 8.199e-11
0.01906 1.865e-18 3.205e-22 3.384e-09 1.011e-09 8.167e-11
0.01922 1.577e-18 2.108e-22 3.426e-09 9.386e-10 8.147e-11
0.01938 1.368e-18 1.922e-22 3.465e-09 8.773e-10 8.15e-11
0.01953 1.202e-18 1.821e-22 3.499e-09 8.253e-10 8.163e-11
0.01969 1.068e-18 1.74e-22 3.529e-09 7.806e-10 8.181e-11
0.01984 9.569e-19 1.672e-22 3.554e-09 7.419e-10 8.204e-11
0.02 8.644e-19 1.613e-22 3.575e-09 7.082e-10 8.23e-11
0.02031 7.216e-19 1.519e-22 3.604e-09 6.531e-10 8.287e-11
0.02063 6.151e-19 1.444e-22 3.622e-09 6.092e-10 8.352e-11
0.02094 5.337e-19 1.384e-22 3.63e-09 5.736e-10 8.423e-11
0.02125 4.7e-19 1.335e-22 3.632e-09 5.441e-10 8.496e-11
0.02188 3.799e-19 1.259e-22 3.619e-09 4.996e-10 8.642e-11
0.0225 3.175e-19 1.201e-22 3.595e-09 4.664e-10 8.789e-11
0.02312 2.725e-19 1.156e-22 3.565e-09 4.407e-10 8.933e-11
0.02375 2.391e-19 1.12e-22 3.534e-09 4.206e-10 9.072e-11
0.025 1.95e-19 1.065e-22 3.473e-09 3.925e-10 9.321e-11
0.02625 1.66e-19 1.024e-22 3.419e-09 3.729e-10 9.549e-11
0.0275 1.461e-19 9.924e-23 3.372e-09 3.589e-10 9.756e-11
0.02875 1.319e-19 9.677e-23 3.333e-09 3.487e-10 9.946e-11
0.03 1.214e-19 9.482e-23 3.302e-09 3.413e-10 1.012e-10
0.03125 1.135e-19 9.325e-23 3.278e-09 3.36e-10 1.028e-10
0.0325 1.074e-19 9.199e-23 3.259e-09 3.322e-10 1.043e-10
0.03375 1.027e-19 9.097e-23 3.246e-09 3.296e-10 1.058e-10
0.035 9.903e-20 9.015e-23 3.237e-09 3.28e-10 1.071e-10
0.03625 9.61e-20 8.948e-23 3.231e-09 3.271e-10 1.084e-10
0.0375 9.376e-20 8.894e-23 3.229e-09 3.268e-10 1.097e-10
0.03875 9.188e-20 8.85e-23 3.229e-09 3.27e-10 1.109e-10
0.04 9.037e-20 8.814e-23 3.23e-09 3.275e-10 1.12e-10
0.04125 8.915e-20 8.785e-23 3.234e-09 3.284e-10 1.132e-10
0.0425 8.816e-20 8.761e-23 3.239e-09 3.296e-10 1.143e-10
0.04375 8.735e-20 8.742e-23 3.246e-09 3.31e-10 1.154e-10
0.045 8.67e-20 8.727e-23 3.253e-09 3.325e-10 1.165e-10
0.04625 8.618e-20 8.716e-23 3.261e-09 3.342e-10 1.175e-10
0.0475 8.58e-20 8.709e-23 3.269e-09 3.358e-10 1.185e-10
0.05 8.58e-20 8.709e-23 3.269e-09 3.358e-10 1.185e-10
-------------------------------------------------------------------------------
z NH3 NNH NO NO2 N2O
-------------------------------------------------------------------------------
0 8.846e-20 2.462e-35 -1.83e-19 -1.093e-18 -2.412e-20
0.005 8.912e-20 2.292e-33 -1.703e-17 -1.089e-18 -2.412e-20
0.01 1.468e-19 2.661e-33 -1.945e-17 -6.337e-19 -2.375e-20
0.0125 2.037e-18 1.953e-32 1.411e-17 1.812e-17 -6.866e-21
0.01375 3.346e-17 5.53e-32 6.187e-16 4.095e-16 3.846e-19
0.015 7.404e-16 1.332e-31 1.514e-14 1.143e-14 1.262e-17
0.01562 6.792e-15 3.621e-31 1.477e-13 1.292e-13 1.574e-16
0.01594 3.421e-14 2.076e-30 7.862e-13 7.875e-13 1.051e-15
0.01625 2.089e-13 4.196e-29 5.099e-12 5.915e-12 8.703e-15
0.01656 1.323e-12 1.639e-27 3.423e-11 4.585e-11 7.421e-14
0.01672 4.123e-12 2.254e-26 1.117e-10 1.673e-10 2.927e-13
0.01688 1.444e-11 3.769e-25 4.128e-10 6.997e-10 1.337e-12
0.01695 2.996e-11 2.231e-24 8.905e-10 1.636e-09 3.335e-12
0.01703 6.618e-11 1.401e-23 2.061e-09 4.136e-09 9.087e-12
0.01707 1.023e-10 4.072e-23 3.29e-09 6.925e-09 1.6e-11
0.01711 1.621e-10 1.262e-22 5.42e-09 1.198e-08 2.932e-11
0.01715 2.607e-10 4.303e-22 9.119e-09 2.105e-08 5.486e-11
0.01719 4.218e-10 1.671e-21 1.558e-08 3.708e-08 1.034e-10
0.01721 5.396e-10 3.65e-21 2.066e-08 4.945e-08 1.438e-10
0.01723 6.93e-10 8.557e-21 2.766e-08 6.62e-08 2.017e-10
0.01725 8.911e-10 2.184e-20 3.732e-08 8.856e-08 2.84e-10
0.01727 1.145e-09 6.122e-20 5.067e-08 1.179e-07 4.001e-10
0.01728 1.298e-09 1.084e-19 5.929e-08 1.358e-07 4.756e-10
0.01729 1.471e-09 1.978e-19 6.954e-08 1.562e-07 5.658e-10
0.01729 1.666e-09 3.738e-19 8.173e-08 1.792e-07 6.731e-10
0.0173 1.885e-09 7.347e-19 9.621e-08 2.051e-07 8.004e-10
0.01731 2.13e-09 1.507e-18 1.134e-07 2.338e-07 9.508e-10
0.01732 2.403e-09 3.242e-18 1.338e-07 2.654e-07 1.128e-09
0.01733 2.706e-09 7.336e-18 1.581e-07 2.997e-07 1.334e-09
0.01734 3.042e-09 1.746e-17 1.867e-07 3.365e-07 1.575e-09
0.01735 3.411e-09 4.34e-17 2.206e-07 3.754e-07 1.854e-09
0.01736 3.815e-09 1.112e-16 2.606e-07 4.158e-07 2.176e-09
0.01737 4.031e-09 1.818e-16 2.832e-07 4.362e-07 2.355e-09
0.01737 4.256e-09 2.964e-16 3.079e-07 4.567e-07 2.547e-09
0.01738 4.492e-09 4.817e-16 3.346e-07 4.771e-07 2.752e-09
0.01738 4.737e-09 7.797e-16 3.636e-07 4.972e-07 2.972e-09
0.01739 4.992e-09 1.255e-15 3.95e-07 5.17e-07 3.206e-09
0.01739 5.258e-09 2.007e-15 4.29e-07 5.361e-07 3.457e-09
0.0174 5.534e-09 3.184e-15 4.658e-07 5.544e-07 3.723e-09
0.0174 5.82e-09 5.005e-15 5.055e-07 5.718e-07 4.007e-09
0.01741 6.116e-09 7.793e-15 5.483e-07 5.879e-07 4.309e-09
0.01741 6.423e-09 1.201e-14 5.943e-07 6.027e-07 4.629e-09
0.01742 6.74e-09 1.831e-14 6.438e-07 6.158e-07 4.968e-09
0.01742 7.068e-09 2.76e-14 6.97e-07 6.271e-07 5.327e-09
0.01743 7.406e-09 4.116e-14 7.538e-07 6.365e-07 5.707e-09
0.01743 7.755e-09 6.068e-14 8.146e-07 6.437e-07 6.108e-09
0.01744 8.114e-09 8.846e-14 8.794e-07 6.486e-07 6.531e-09
0.01744 8.484e-09 1.275e-13 9.483e-07 6.511e-07 6.977e-09
0.01745 8.864e-09 1.818e-13 1.021e-06 6.511e-07 7.446e-09
0.01745 9.255e-09 2.565e-13 1.099e-06 6.485e-07 7.94e-09
0.01746 9.655e-09 3.579e-13 1.181e-06 6.434e-07 8.458e-09
0.01746 1.007e-08 4.943e-13 1.267e-06 6.358e-07 9.002e-09
0.01747 1.049e-08 6.757e-13 1.357e-06 6.257e-07 9.573e-09
0.01747 1.092e-08 9.145e-13 1.452e-06 6.133e-07 1.017e-08
0.01748 1.136e-08 1.226e-12 1.551e-06 5.987e-07 1.079e-08
0.01748 1.181e-08 1.627e-12 1.654e-06 5.82e-07 1.145e-08
0.01749 1.227e-08 2.14e-12 1.761e-06 5.636e-07 1.213e-08
0.01749 1.274e-08 2.79e-12 1.873e-06 5.436e-07 1.284e-08
0.0175 1.322e-08 3.606e-12 1.988e-06 5.223e-07 1.359e-08
0.0175 1.371e-08 4.621e-12 2.107e-06 4.999e-07 1.436e-08
0.0175 1.42e-08 5.874e-12 2.229e-06 4.767e-07 1.517e-08
0.01751 1.471e-08 7.41e-12 2.356e-06 4.53e-07 1.6e-08
0.01751 1.522e-08 9.279e-12 2.485e-06 4.29e-07 1.688e-08
0.01752 1.574e-08 1.154e-11 2.618e-06 4.05e-07 1.778e-08
0.01752 1.626e-08 1.425e-11 2.754e-06 3.811e-07 1.872e-08
0.01753 1.68e-08 1.748e-11 2.893e-06 3.577e-07 1.97e-08
0.01753 1.734e-08 2.132e-11 3.036e-06 3.348e-07 2.071e-08
0.01754 1.788e-08 2.587e-11 3.181e-06 3.126e-07 2.176e-08
0.01754 1.843e-08 3.121e-11 3.33e-06 2.912e-07 2.284e-08
0.01755 1.899e-08 3.747e-11 3.481e-06 2.707e-07 2.397e-08
0.01755 1.955e-08 4.478e-11 3.635e-06 2.513e-07 2.513e-08
0.01756 2.011e-08 5.329e-11 3.793e-06 2.328e-07 2.633e-08
0.01756 2.067e-08 6.316e-11 3.953e-06 2.155e-07 2.757e-08
0.01757 2.123e-08 7.459e-11 4.116e-06 1.992e-07 2.885e-08
0.01757 2.18e-08 8.777e-11 4.283e-06 1.841e-07 3.018e-08
0.01758 2.236e-08 1.029e-10 4.452e-06 1.699e-07 3.154e-08
0.01758 2.292e-08 1.204e-10 4.625e-06 1.568e-07 3.295e-08
0.01759 2.348e-08 1.403e-10 4.801e-06 1.447e-07 3.44e-08
0.01759 2.403e-08 1.631e-10 4.981e-06 1.335e-07 3.59e-08
0.0176 2.457e-08 1.891e-10 5.164e-06 1.232e-07 3.743e-08
0.0176 2.511e-08 2.187e-10 5.35e-06 1.138e-07 3.901e-08
0.01761 2.563e-08 2.523e-10 5.54e-06 1.051e-07 4.064e-08
0.01761 2.615e-08 2.902e-10 5.734e-06 9.711e-08 4.231e-08
0.01762 2.665e-08 3.33e-10 5.931e-06 8.979e-08 4.403e-08
0.01762 2.714e-08 3.812e-10 6.133e-06 8.307e-08 4.579e-08
0.01763 2.761e-08 4.353e-10 6.338e-06 7.689e-08 4.76e-08
0.01763 2.806e-08 4.957e-10 6.548e-06 7.122e-08 4.945e-08
0.01764 2.848e-08 5.63e-10 6.762e-06 6.6e-08 5.135e-08
0.01764 2.889e-08 6.378e-10 6.98e-06 6.119e-08 5.329e-08
0.01765 2.926e-08 7.205e-10 7.203e-06 5.675e-08 5.527e-08
0.01765 2.944e-08 7.651e-10 7.316e-06 5.466e-08 5.628e-08
0.01765 2.961e-08 8.118e-10 7.431e-06 5.265e-08 5.731e-08
0.01765 2.977e-08 8.608e-10 7.546e-06 5.071e-08 5.834e-08
0.01766 2.993e-08 9.121e-10 7.663e-06 4.885e-08 5.938e-08
0.01766 3.007e-08 9.657e-10 7.781e-06 4.706e-08 6.043e-08
0.01766 3.021e-08 1.022e-09 7.9e-06 4.534e-08 6.15e-08
0.01766 3.033e-08 1.08e-09 8.021e-06 4.367e-08 6.257e-08
0.01767 3.045e-08 1.141e-09 8.143e-06 4.207e-08 6.366e-08
0.01767 3.056e-08 1.205e-09 8.266e-06 4.053e-08 6.475e-08
0.01767 3.066e-08 1.271e-09 8.39e-06 3.904e-08 6.586e-08
0.01767 3.074e-08 1.339e-09 8.516e-06 3.761e-08 6.697e-08
0.01768 3.082e-08 1.411e-09 8.643e-06 3.622e-08 6.81e-08
0.01768 3.089e-08 1.485e-09 8.771e-06 3.489e-08 6.923e-08
0.01768 3.094e-08 1.561e-09 8.901e-06 3.36e-08 7.037e-08
0.01768 3.099e-08 1.641e-09 9.032e-06 3.236e-08 7.153e-08
0.01769 3.102e-08 1.722e-09 9.164e-06 3.116e-08 7.269e-08
0.01769 3.104e-08 1.807e-09 9.298e-06 3e-08 7.386e-08
0.01769 3.105e-08 1.894e-09 9.433e-06 2.888e-08 7.504e-08
0.01769 3.104e-08 1.984e-09 9.569e-06 2.78e-08 7.623e-08
0.0177 3.102e-08 2.076e-09 9.707e-06 2.676e-08 7.742e-08
0.0177 3.099e-08 2.171e-09 9.846e-06 2.575e-08 7.863e-08
0.0177 3.095e-08 2.269e-09 9.987e-06 2.478e-08 7.984e-08
0.0177 3.09e-08 2.368e-09 1.013e-05 2.385e-08 8.106e-08
0.01771 3.083e-08 2.471e-09 1.027e-05 2.295e-08 8.229e-08
0.01771 3.075e-08 2.575e-09 1.042e-05 2.208e-08 8.352e-08
0.01771 3.066e-08 2.682e-09 1.056e-05 2.124e-08 8.477e-08
0.01771 3.055e-08 2.791e-09 1.071e-05 2.043e-08 8.601e-08
0.01771 3.043e-08 2.902e-09 1.086e-05 1.965e-08 8.727e-08
0.01772 3.03e-08 3.015e-09 1.101e-05 1.89e-08 8.853e-08
0.01772 3.015e-08 3.129e-09 1.116e-05 1.818e-08 8.98e-08
0.01772 2.999e-08 3.246e-09 1.131e-05 1.748e-08 9.107e-08
0.01772 2.982e-08 3.364e-09 1.146e-05 1.681e-08 9.235e-08
0.01773 2.964e-08 3.484e-09 1.162e-05 1.617e-08 9.363e-08
0.01773 2.944e-08 3.605e-09 1.177e-05 1.555e-08 9.492e-08
0.01773 2.924e-08 3.728e-09 1.193e-05 1.496e-08 9.621e-08
0.01773 2.902e-08 3.851e-09 1.209e-05 1.439e-08 9.751e-08
0.01774 2.879e-08 3.976e-09 1.225e-05 1.385e-08 9.881e-08
0.01774 2.854e-08 4.101e-09 1.241e-05 1.332e-08 1.001e-07
0.01774 2.802e-08 4.354e-09 1.273e-05 1.235e-08 1.027e-07
0.01775 2.746e-08 4.609e-09 1.305e-05 1.145e-08 1.054e-07
0.01775 2.687e-08 4.865e-09 1.337e-05 1.064e-08 1.08e-07
0.01776 2.623e-08 5.121e-09 1.37e-05 9.899e-09 1.106e-07
0.01776 2.557e-08 5.375e-09 1.403e-05 9.233e-09 1.133e-07
0.01777 2.523e-08 5.501e-09 1.419e-05 8.925e-09 1.146e-07
0.01777 2.488e-08 5.627e-09 1.435e-05 8.634e-09 1.159e-07
0.01777 2.452e-08 5.752e-09 1.452e-05 8.359e-09 1.172e-07
0.01777 2.416e-08 5.875e-09 1.468e-05 8.099e-09 1.186e-07
0.01778 2.38e-08 5.998e-09 1.484e-05 7.854e-09 1.199e-07
0.01778 2.343e-08 6.12e-09 1.5e-05 7.623e-09 1.212e-07
0.01778 2.306e-08 6.24e-09 1.516e-05 7.406e-09 1.225e-07
0.01778 2.268e-08 6.359e-09 1.532e-05 7.203e-09 1.238e-07
0.01779 2.23e-08 6.477e-09 1.548e-05 7.012e-09 1.251e-07
0.01779 2.192e-08 6.593e-09 1.564e-05 6.834e-09 1.264e-07
0.01779 2.154e-08 6.708e-09 1.58e-05 6.667e-09 1.277e-07
0.01779 2.115e-08 6.821e-09 1.596e-05 6.512e-09 1.289e-07
0.0178 2.077e-08 6.932e-09 1.611e-05 6.368e-09 1.302e-07
0.0178 2.038e-08 7.042e-09 1.627e-05 6.233e-09 1.315e-07
0.0178 1.961e-08 7.256e-09 1.657e-05 5.994e-09 1.339e-07
0.01781 1.885e-08 7.462e-09 1.687e-05 5.791e-09 1.364e-07
0.01781 1.809e-08 7.661e-09 1.717e-05 5.619e-09 1.388e-07
0.01782 1.734e-08 7.852e-09 1.746e-05 5.475e-09 1.412e-07
0.01782 1.66e-08 8.034e-09 1.774e-05 5.357e-09 1.434e-07
0.01783 1.588e-08 8.209e-09 1.801e-05 5.261e-09 1.457e-07
0.01783 1.517e-08 8.375e-09 1.828e-05 5.184e-09 1.479e-07
0.01784 1.449e-08 8.533e-09 1.854e-05 5.123e-09 1.5e-07
0.01784 1.382e-08 8.683e-09 1.88e-05 5.078e-09 1.52e-07
0.01785 1.317e-08 8.825e-09 1.904e-05 5.044e-09 1.54e-07
0.01785 1.255e-08 8.959e-09 1.928e-05 5.021e-09 1.559e-07
0.01786 1.194e-08 9.086e-09 1.952e-05 5.007e-09 1.577e-07
0.01786 1.136e-08 9.205e-09 1.974e-05 5e-09 1.594e-07
0.01787 1.08e-08 9.317e-09 1.996e-05 4.999e-09 1.611e-07
0.01787 1.027e-08 9.422e-09 2.018e-05 5.003e-09 1.627e-07
0.01788 9.758e-09 9.52e-09 2.038e-05 5.011e-09 1.642e-07
0.01788 9.268e-09 9.611e-09 2.058e-05 5.022e-09 1.656e-07
0.01789 8.355e-09 9.775e-09 2.096e-05 5.051e-09 1.682e-07
0.0179 7.526e-09 9.916e-09 2.132e-05 5.085e-09 1.706e-07
0.01791 6.775e-09 1.004e-08 2.166e-05 5.123e-09 1.727e-07
0.01792 6.098e-09 1.014e-08 2.198e-05 5.16e-09 1.745e-07
0.01793 5.489e-09 1.022e-08 2.229e-05 5.198e-09 1.761e-07
0.01794 4.941e-09 1.028e-08 2.257e-05 5.235e-09 1.774e-07
0.01795 4.449e-09 1.034e-08 2.285e-05 5.27e-09 1.786e-07
0.01796 4.008e-09 1.037e-08 2.31e-05 5.304e-09 1.796e-07
0.01797 3.614e-09 1.04e-08 2.335e-05 5.336e-09 1.805e-07
0.01799 2.947e-09 1.043e-08 2.382e-05 5.397e-09 1.817e-07
0.01801 2.412e-09 1.042e-08 2.425e-05 5.453e-09 1.826e-07
0.01803 1.98e-09 1.038e-08 2.465e-05 5.507e-09 1.832e-07
0.01805 1.632e-09 1.033e-08 2.503e-05 5.56e-09 1.835e-07
0.01809 1.134e-09 1.017e-08 2.572e-05 5.661e-09 1.837e-07
0.01813 8.024e-10 9.97e-09 2.637e-05 5.762e-09 1.837e-07
0.01816 5.782e-10 9.749e-09 2.697e-05 5.865e-09 1.835e-07
0.0182 4.252e-10 9.516e-09 2.754e-05 5.971e-09 1.834e-07
0.01824 3.198e-10 9.278e-09 2.81e-05 6.079e-09 1.834e-07
0.01828 2.465e-10 9.039e-09 2.863e-05 6.189e-09 1.834e-07
0.01832 1.953e-10 8.802e-09 2.914e-05 6.302e-09 1.834e-07
0.01836 1.593e-10 8.571e-09 2.964e-05 6.416e-09 1.835e-07
0.01844 1.187e-10 8.126e-09 3.061e-05 6.649e-09 1.84e-07
0.01852 9.81e-11 7.711e-09 3.155e-05 6.885e-09 1.845e-07
0.01859 8.791e-11 7.325e-09 3.245e-05 7.123e-09 1.85e-07
0.01867 8.326e-11 6.969e-09 3.333e-05 7.363e-09 1.856e-07
0.01875 8.159e-11 6.641e-09 3.418e-05 7.602e-09 1.862e-07
0.01883 8.156e-11 6.339e-09 3.501e-05 7.841e-09 1.868e-07
0.01891 8.242e-11 6.06e-09 3.582e-05 8.08e-09 1.873e-07
0.01898 8.378e-11 5.803e-09 3.662e-05 8.317e-09 1.878e-07
0.01906 8.539e-11 5.565e-09 3.739e-05 8.554e-09 1.883e-07
0.01922 8.901e-11 5.142e-09 3.89e-05 9.023e-09 1.89e-07
0.01938 9.277e-11 4.775e-09 4.036e-05 9.488e-09 1.897e-07
0.01953 9.654e-11 4.455e-09 4.177e-05 9.948e-09 1.902e-07
0.01969 1.003e-10 4.174e-09 4.314e-05 1.04e-08 1.906e-07
0.01984 1.04e-10 3.925e-09 4.447e-05 1.085e-08 1.909e-07
0.02 1.077e-10 3.705e-09 4.576e-05 1.129e-08 1.911e-07
0.02031 1.148e-10 3.335e-09 4.824e-05 1.216e-08 1.913e-07
0.02063 1.217e-10 3.033e-09 5.062e-05 1.299e-08 1.912e-07
0.02094 1.286e-10 2.783e-09 5.289e-05 1.381e-08 1.908e-07
0.02125 1.352e-10 2.573e-09 5.508e-05 1.459e-08 1.903e-07
0.02188 1.477e-10 2.25e-09 5.918e-05 1.607e-08 1.89e-07
0.0225 1.595e-10 2.006e-09 6.305e-05 1.746e-08 1.874e-07
0.02312 1.708e-10 1.816e-09 6.671e-05 1.877e-08 1.857e-07
0.02375 1.815e-10 1.666e-09 7.02e-05 2e-08 1.839e-07
0.025 2e-10 1.455e-09 7.666e-05 2.223e-08 1.805e-07
0.02625 2.166e-10 1.307e-09 8.272e-05 2.426e-08 1.773e-07
0.0275 2.314e-10 1.199e-09 8.847e-05 2.614e-08 1.745e-07
0.02875 2.444e-10 1.119e-09 9.397e-05 2.79e-08 1.721e-07
0.03 2.56e-10 1.058e-09 9.928e-05 2.957e-08 1.7e-07
0.03125 2.663e-10 1.01e-09 0.0001044 3.116e-08 1.682e-07
0.0325 2.755e-10 9.732e-10 0.0001094 3.27e-08 1.667e-07
0.03375 2.836e-10 9.439e-10 0.0001144 3.42e-08 1.655e-07
0.035 2.91e-10 9.205e-10 0.0001192 3.566e-08 1.644e-07
0.03625 2.976e-10 9.017e-10 0.000124 3.709e-08 1.636e-07
0.0375 3.037e-10 8.865e-10 0.0001287 3.85e-08 1.628e-07
0.03875 3.092e-10 8.741e-10 0.0001333 3.989e-08 1.622e-07
0.04 3.144e-10 8.641e-10 0.0001379 4.127e-08 1.617e-07
0.04125 3.192e-10 8.559e-10 0.0001425 4.263e-08 1.613e-07
0.0425 3.236e-10 8.492e-10 0.0001471 4.399e-08 1.609e-07
0.04375 3.279e-10 8.437e-10 0.0001516 4.534e-08 1.606e-07
0.045 3.319e-10 8.392e-10 0.0001561 4.668e-08 1.604e-07
0.04625 3.357e-10 8.356e-10 0.0001605 4.799e-08 1.602e-07
0.0475 3.39e-10 8.328e-10 0.0001645 4.918e-08 1.6e-07
0.05 3.39e-10 8.328e-10 0.0001645 4.918e-08 1.6e-07
-------------------------------------------------------------------------------
z HNO CN HCN H2CN HCNN
-------------------------------------------------------------------------------
0 2.659e-19 8.085e-19 -1.137e-18 5.137e-19 2.564e-44
0.005 2.663e-19 6.264e-25 -1.137e-18 5.137e-19 1.092e-44
0.01 2.7e-19 4.872e-31 -1.125e-18 5.137e-19 3.657e-46
0.0125 4.005e-19 7.686e-37 -5.871e-19 5.144e-19 -4.976e-50
0.01375 2.711e-18 7.803e-42 1.212e-17 5.324e-19 9.449e-50
0.015 5.804e-17 1.109e-40 4.159e-16 1.11e-18 -7.918e-47
0.01562 5.616e-16 2.937e-39 5.281e-15 8.124e-18 1.634e-45
0.01594 2.979e-15 6.975e-38 3.58e-14 5.25e-17 3.515e-43
0.01625 1.926e-14 4.728e-36 3.013e-13 4.416e-16 4.872e-40
0.01656 1.289e-13 8.414e-34 2.61e-12 3.854e-15 2.358e-36
0.01672 4.189e-13 3.573e-32 1.043e-11 1.55e-14 9.498e-34
0.01688 1.538e-12 1.786e-30 4.832e-11 7.232e-14 4.465e-31
0.01695 3.295e-12 2.042e-29 1.218e-10 1.832e-13 2.007e-29
0.01703 7.547e-12 2.562e-28 3.358e-10 5.08e-13 9.056e-28
0.01707 1.192e-11 1.095e-27 5.953e-10 9.039e-13 7.561e-27
0.01711 1.937e-11 5.119e-27 1.099e-09 1.676e-12 6.486e-26
0.01715 3.197e-11 2.656e-26 2.073e-09 3.174e-12 5.735e-25
0.01719 5.314e-11 1.586e-25 3.935e-09 6.049e-12 5.249e-24
0.01721 6.901e-11 4.324e-25 5.489e-09 8.458e-12 1.719e-23
0.01723 9.005e-11 1.284e-24 7.722e-09 1.193e-11 5.86e-23
0.01725 1.178e-10 4.192e-24 1.09e-08 1.688e-11 2.099e-22
0.01727 1.54e-10 1.518e-23 1.539e-08 2.389e-11 7.94e-22
0.01728 1.762e-10 3.038e-23 1.831e-08 2.845e-11 1.62e-21
0.01729 2.017e-10 6.286e-23 2.179e-08 3.39e-11 3.374e-21
0.01729 2.308e-10 1.345e-22 2.593e-08 4.039e-11 7.214e-21
0.0173 2.639e-10 2.972e-22 3.083e-08 4.808e-11 1.589e-20
0.01731 3.014e-10 6.772e-22 3.661e-08 5.715e-11 3.624e-20
0.01732 3.439e-10 1.589e-21 4.338e-08 6.78e-11 8.599e-20
0.01733 3.917e-10 3.825e-21 5.128e-08 8.023e-11 2.134e-19
0.01734 4.454e-10 9.425e-21 6.044e-08 9.465e-11 5.552e-19
0.01735 5.053e-10 2.367e-20 7.102e-08 1.113e-10 1.508e-18
0.01736 5.719e-10 6.03e-20 8.316e-08 1.304e-10 4.224e-18
0.01737 6.08e-10 9.695e-20 8.988e-08 1.409e-10 7.276e-18
0.01737 6.459e-10 1.562e-19 9.707e-08 1.521e-10 1.25e-17
0.01738 6.858e-10 2.522e-19 1.047e-07 1.641e-10 2.148e-17
0.01738 7.276e-10 4.078e-19 1.129e-07 1.768e-10 3.686e-17
0.01739 7.715e-10 6.6e-19 1.217e-07 1.902e-10 6.308e-17
0.01739 8.175e-10 1.068e-18 1.309e-07 2.045e-10 1.075e-16
0.0174 8.655e-10 1.728e-18 1.408e-07 2.194e-10 1.824e-16
0.0174 9.157e-10 2.793e-18 1.512e-07 2.351e-10 3.072e-16
0.01741 9.68e-10 4.503e-18 1.623e-07 2.514e-10 5.133e-16
0.01741 1.022e-09 7.242e-18 1.74e-07 2.683e-10 8.498e-16
0.01742 1.079e-09 1.161e-17 1.863e-07 2.858e-10 1.393e-15
0.01742 1.137e-09 1.853e-17 1.993e-07 3.037e-10 2.257e-15
0.01743 1.198e-09 2.943e-17 2.131e-07 3.218e-10 3.613e-15
0.01743 1.26e-09 4.649e-17 2.275e-07 3.401e-10 5.71e-15
0.01744 1.324e-09 7.299e-17 2.427e-07 3.583e-10 8.905e-15
0.01744 1.39e-09 1.138e-16 2.586e-07 3.761e-10 1.37e-14
0.01745 1.458e-09 1.763e-16 2.753e-07 3.933e-10 2.077e-14
0.01745 1.526e-09 2.709e-16 2.928e-07 4.096e-10 3.104e-14
0.01746 1.596e-09 4.128e-16 3.112e-07 4.246e-10 4.574e-14
0.01746 1.667e-09 6.24e-16 3.303e-07 4.38e-10 6.643e-14
0.01747 1.738e-09 9.351e-16 3.503e-07 4.494e-10 9.512e-14
0.01747 1.81e-09 1.389e-15 3.712e-07 4.585e-10 1.343e-13
0.01748 1.882e-09 2.045e-15 3.929e-07 4.65e-10 1.872e-13
0.01748 1.953e-09 2.985e-15 4.156e-07 4.684e-10 2.575e-13
0.01749 2.025e-09 4.32e-15 4.392e-07 4.686e-10 3.498e-13
0.01749 2.096e-09 6.199e-15 4.637e-07 4.654e-10 4.698e-13
0.0175 2.167e-09 8.824e-15 4.892e-07 4.587e-10 6.244e-13
0.0175 2.236e-09 1.246e-14 5.156e-07 4.486e-10 8.22e-13
0.0175 2.305e-09 1.748e-14 5.43e-07 4.352e-10 1.073e-12
0.01751 2.373e-09 2.436e-14 5.715e-07 4.188e-10 1.39e-12
0.01751 2.44e-09 3.373e-14 6.009e-07 3.998e-10 1.791e-12
0.01752 2.506e-09 4.647e-14 6.314e-07 3.787e-10 2.296e-12
0.01752 2.571e-09 6.372e-14 6.629e-07 3.561e-10 2.934e-12
0.01753 2.637e-09 8.704e-14 6.955e-07 3.327e-10 3.74e-12
0.01753 2.702e-09 1.185e-13 7.292e-07 3.09e-10 4.764e-12
0.01754 2.767e-09 1.609e-13 7.64e-07 2.858e-10 6.067e-12
0.01754 2.833e-09 2.179e-13 7.999e-07 2.637e-10 7.733e-12
0.01755 2.9e-09 2.947e-13 8.369e-07 2.43e-10 9.868e-12
0.01755 2.968e-09 3.98e-13 8.751e-07 2.242e-10 1.261e-11
0.01756 3.039e-09 5.369e-13 9.144e-07 2.075e-10 1.615e-11
0.01756 3.112e-09 7.236e-13 9.549e-07 1.932e-10 2.072e-11
0.01757 3.188e-09 9.741e-13 9.966e-07 1.814e-10 2.663e-11
0.01757 3.268e-09 1.31e-12 1.04e-06 1.72e-10 3.427e-11
0.01758 3.352e-09 1.76e-12 1.084e-06 1.65e-10 4.412e-11
0.01758 3.441e-09 2.361e-12 1.129e-06 1.603e-10 5.683e-11
0.01759 3.535e-09 3.162e-12 1.176e-06 1.58e-10 7.316e-11
0.01759 3.635e-09 4.226e-12 1.224e-06 1.579e-10 9.408e-11
0.0176 3.741e-09 5.636e-12 1.273e-06 1.602e-10 1.207e-10
0.0176 3.853e-09 7.498e-12 1.323e-06 1.648e-10 1.546e-10
0.01761 3.972e-09 9.947e-12 1.375e-06 1.72e-10 1.972e-10
0.01761 4.099e-09 1.315e-11 1.428e-06 1.82e-10 2.506e-10
0.01762 4.233e-09 1.733e-11 1.483e-06 1.952e-10 3.17e-10
0.01762 4.375e-09 2.275e-11 1.539e-06 2.118e-10 3.987e-10
0.01763 4.525e-09 2.975e-11 1.596e-06 2.326e-10 4.986e-10
0.01763 4.683e-09 3.872e-11 1.655e-06 2.58e-10 6.195e-10
0.01764 4.85e-09 5.016e-11 1.715e-06 2.889e-10 7.644e-10
0.01764 5.026e-09 6.466e-11 1.777e-06 3.26e-10 9.364e-10
0.01765 5.211e-09 8.29e-11 1.84e-06 3.703e-10 1.138e-09
0.01765 5.306e-09 9.372e-11 1.872e-06 3.955e-10 1.251e-09
0.01765 5.404e-09 1.058e-10 1.904e-06 4.229e-10 1.373e-09
0.01765 5.504e-09 1.193e-10 1.936e-06 4.526e-10 1.503e-09
0.01766 5.607e-09 1.343e-10 1.969e-06 4.847e-10 1.643e-09
0.01766 5.711e-09 1.509e-10 2.003e-06 5.192e-10 1.791e-09
0.01766 5.818e-09 1.694e-10 2.036e-06 5.565e-10 1.949e-09
0.01766 5.927e-09 1.899e-10 2.07e-06 5.964e-10 2.116e-09
0.01767 6.038e-09 2.125e-10 2.104e-06 6.391e-10 2.293e-09
0.01767 6.152e-09 2.374e-10 2.139e-06 6.847e-10 2.479e-09
0.01767 6.267e-09 2.648e-10 2.173e-06 7.332e-10 2.675e-09
0.01767 6.385e-09 2.95e-10 2.208e-06 7.847e-10 2.88e-09
0.01768 6.504e-09 3.28e-10 2.243e-06 8.391e-10 3.093e-09
0.01768 6.626e-09 3.642e-10 2.278e-06 8.963e-10 3.316e-09
0.01768 6.75e-09 4.036e-10 2.314e-06 9.565e-10 3.546e-09
0.01768 6.876e-09 4.466e-10 2.349e-06 1.019e-09 3.784e-09
0.01769 7.003e-09 4.934e-10 2.385e-06 1.085e-09 4.029e-09
0.01769 7.133e-09 5.441e-10 2.42e-06 1.153e-09 4.281e-09
0.01769 7.264e-09 5.99e-10 2.456e-06 1.223e-09 4.538e-09
0.01769 7.396e-09 6.583e-10 2.491e-06 1.295e-09 4.801e-09
0.0177 7.53e-09 7.221e-10 2.527e-06 1.368e-09 5.067e-09
0.0177 7.666e-09 7.908e-10 2.562e-06 1.443e-09 5.336e-09
0.0177 7.803e-09 8.644e-10 2.597e-06 1.519e-09 5.607e-09
0.0177 7.941e-09 9.432e-10 2.631e-06 1.595e-09 5.879e-09
0.01771 8.08e-09 1.027e-09 2.666e-06 1.671e-09 6.151e-09
0.01771 8.22e-09 1.117e-09 2.7e-06 1.746e-09 6.421e-09
0.01771 8.36e-09 1.212e-09 2.733e-06 1.82e-09 6.688e-09
0.01771 8.501e-09 1.313e-09 2.766e-06 1.892e-09 6.951e-09
0.01771 8.642e-09 1.419e-09 2.798e-06 1.963e-09 7.208e-09
0.01772 8.783e-09 1.531e-09 2.83e-06 2.03e-09 7.459e-09
0.01772 8.925e-09 1.649e-09 2.86e-06 2.093e-09 7.701e-09
0.01772 9.065e-09 1.772e-09 2.89e-06 2.153e-09 7.934e-09
0.01772 9.205e-09 1.901e-09 2.918e-06 2.208e-09 8.156e-09
0.01773 9.345e-09 2.036e-09 2.946e-06 2.258e-09 8.365e-09
0.01773 9.483e-09 2.176e-09 2.972e-06 2.302e-09 8.562e-09
0.01773 9.62e-09 2.321e-09 2.998e-06 2.339e-09 8.744e-09
0.01773 9.754e-09 2.47e-09 3.021e-06 2.371e-09 8.911e-09
0.01774 9.887e-09 2.625e-09 3.044e-06 2.395e-09 9.061e-09
0.01774 1.002e-08 2.783e-09 3.064e-06 2.412e-09 9.194e-09
0.01774 1.027e-08 3.111e-09 3.101e-06 2.425e-09 9.405e-09
0.01775 1.051e-08 3.45e-09 3.131e-06 2.408e-09 9.54e-09
0.01775 1.074e-08 3.797e-09 3.153e-06 2.361e-09 9.596e-09
0.01776 1.095e-08 4.146e-09 3.167e-06 2.287e-09 9.572e-09
0.01776 1.113e-08 4.493e-09 3.173e-06 2.189e-09 9.471e-09
0.01777 1.122e-08 4.664e-09 3.173e-06 2.132e-09 9.392e-09
0.01777 1.13e-08 4.832e-09 3.17e-06 2.07e-09 9.296e-09
0.01777 1.137e-08 4.997e-09 3.166e-06 2.004e-09 9.182e-09
0.01777 1.144e-08 5.159e-09 3.159e-06 1.934e-09 9.052e-09
0.01778 1.15e-08 5.316e-09 3.151e-06 1.862e-09 8.906e-09
0.01778 1.156e-08 5.468e-09 3.14e-06 1.787e-09 8.746e-09
0.01778 1.161e-08 5.614e-09 3.127e-06 1.711e-09 8.573e-09
0.01778 1.165e-08 5.755e-09 3.112e-06 1.634e-09 8.388e-09
0.01779 1.168e-08 5.889e-09 3.095e-06 1.555e-09 8.191e-09
0.01779 1.171e-08 6.016e-09 3.076e-06 1.477e-09 7.985e-09
0.01779 1.173e-08 6.136e-09 3.055e-06 1.4e-09 7.77e-09
0.01779 1.175e-08 6.249e-09 3.033e-06 1.323e-09 7.547e-09
0.0178 1.175e-08 6.353e-09 3.008e-06 1.247e-09 7.318e-09
0.0178 1.175e-08 6.449e-09 2.982e-06 1.173e-09 7.085e-09
0.0178 1.173e-08 6.616e-09 2.925e-06 1.031e-09 6.605e-09
0.01781 1.169e-08 6.749e-09 2.863e-06 8.984e-10 6.119e-09
0.01781 1.161e-08 6.847e-09 2.795e-06 7.77e-10 5.634e-09
0.01782 1.152e-08 6.912e-09 2.723e-06 6.673e-10 5.157e-09
0.01782 1.14e-08 6.943e-09 2.647e-06 5.695e-10 4.693e-09
0.01783 1.126e-08 6.944e-09 2.568e-06 4.834e-10 4.249e-09
0.01783 1.11e-08 6.915e-09 2.486e-06 4.084e-10 3.827e-09
0.01784 1.092e-08 6.86e-09 2.403e-06 3.438e-10 3.43e-09
0.01784 1.073e-08 6.78e-09 2.319e-06 2.885e-10 3.06e-09
0.01785 1.053e-08 6.679e-09 2.235e-06 2.416e-10 2.718e-09
0.01785 1.032e-08 6.558e-09 2.15e-06 2.022e-10 2.405e-09
0.01786 1.01e-08 6.422e-09 2.066e-06 1.691e-10 2.119e-09
0.01786 9.873e-09 6.272e-09 1.982e-06 1.416e-10 1.861e-09
0.01787 9.643e-09 6.111e-09 1.9e-06 1.188e-10 1.629e-09
0.01787 9.41e-09 5.94e-09 1.819e-06 9.993e-11 1.421e-09
0.01788 9.177e-09 5.763e-09 1.74e-06 8.437e-11 1.237e-09
0.01788 8.943e-09 5.581e-09 1.663e-06 7.152e-11 1.073e-09
0.01789 8.482e-09 5.208e-09 1.515e-06 5.245e-11 8.039e-10
0.0179 8.035e-09 4.833e-09 1.376e-06 3.94e-11 5.975e-10
0.01791 7.608e-09 4.464e-09 1.248e-06 3.038e-11 4.41e-10
0.01792 7.205e-09 4.108e-09 1.129e-06 2.404e-11 3.236e-10
0.01793 6.827e-09 3.768e-09 1.02e-06 1.948e-11 2.362e-10
0.01794 6.476e-09 3.447e-09 9.2e-07 1.61e-11 1.716e-10
0.01795 6.152e-09 3.147e-09 8.293e-07 1.353e-11 1.241e-10
0.01796 5.854e-09 2.867e-09 7.471e-07 1.152e-11 8.93e-11
0.01797 5.581e-09 2.609e-09 6.726e-07 9.909e-12 6.39e-11
0.01799 5.108e-09 2.156e-09 5.454e-07 7.514e-12 3.35e-11
0.01801 4.716e-09 1.775e-09 4.418e-07 5.787e-12 1.745e-11
0.01803 4.393e-09 1.458e-09 3.578e-07 4.496e-12 8.999e-12
0.01805 4.128e-09 1.196e-09 2.898e-07 3.51e-12 4.489e-12
0.01809 3.739e-09 8.12e-10 1.928e-07 2.188e-12 1.325e-12
0.01813 3.474e-09 5.509e-10 1.288e-07 1.373e-12 3.926e-13
0.01816 3.291e-09 3.74e-10 8.63e-08 8.663e-13 1.17e-13
0.0182 3.163e-09 2.544e-10 5.81e-08 5.498e-13 3.51e-14
0.01824 3.072e-09 1.734e-10 3.928e-08 3.509e-13 1.061e-14
0.01828 3.006e-09 1.185e-10 2.667e-08 2.252e-13 3.23e-15
0.01832 2.957e-09 8.112e-11 1.816e-08 1.452e-13 9.839e-16
0.01836 2.92e-09 5.55e-11 1.237e-08 9.38e-14 2.717e-16
0.01844 2.868e-09 2.786e-11 6.175e-09 4.229e-14 3.775e-17
0.01852 2.831e-09 1.417e-11 3.131e-09 1.948e-14 5.502e-18
0.01859 2.801e-09 7.307e-12 1.612e-09 9.158e-15 8.992e-19
0.01867 2.774e-09 3.82e-12 8.424e-10 4.392e-15 2.118e-19
0.01875 2.75e-09 2.026e-12 4.468e-10 2.148e-15 9.843e-20
0.01883 2.728e-09 1.091e-12 2.406e-10 1.071e-15 7.351e-20
0.01891 2.706e-09 5.973e-13 1.315e-10 5.442e-16 6.384e-20
0.01898 2.686e-09 3.328e-13 7.301e-11 2.818e-16 5.766e-20
0.01906 2.666e-09 1.878e-13 4.082e-11 1.475e-16 5.278e-20
0.01922 2.63e-09 7.774e-14 1.63e-11 5.212e-17 4.519e-20
0.01938 2.595e-09 3.902e-14 7.62e-12 2.178e-17 3.932e-20
0.01953 2.563e-09 2.498e-14 4.468e-12 1.152e-17 3.464e-20
0.01969 2.534e-09 1.975e-14 3.306e-12 7.747e-18 3.082e-20
0.01984 2.506e-09 1.776e-14 2.882e-12 6.181e-18 2.766e-20
0.02 2.48e-09 1.697e-14 2.735e-12 5.404e-18 2.5e-20
0.02031 2.436e-09 1.659e-14 2.723e-12 4.649e-18 2.085e-20
0.02063 2.397e-09 1.649e-14 2.778e-12 4.166e-18 1.772e-20
0.02094 2.363e-09 1.646e-14 2.845e-12 3.801e-18 1.53e-20
0.02125 2.333e-09 1.643e-14 2.913e-12 3.507e-18 1.339e-20
0.02188 2.29e-09 1.636e-14 3.033e-12 3.067e-18 1.066e-20
0.0225 2.258e-09 1.628e-14 3.141e-12 2.742e-18 8.767e-21
0.02312 2.235e-09 1.62e-14 3.238e-12 2.493e-18 7.403e-21
0.02375 2.22e-09 1.612e-14 3.325e-12 2.299e-18 6.392e-21
0.025 2.214e-09 1.597e-14 3.466e-12 2.029e-18 5.07e-21
0.02625 2.225e-09 1.585e-14 3.584e-12 1.841e-18 4.217e-21
0.0275 2.249e-09 1.575e-14 3.684e-12 1.706e-18 3.637e-21
0.02875 2.282e-09 1.568e-14 3.77e-12 1.606e-18 3.228e-21
0.03 2.323e-09 1.564e-14 3.845e-12 1.532e-18 2.93e-21
0.03125 2.371e-09 1.562e-14 3.912e-12 1.477e-18 2.708e-21
0.0325 2.424e-09 1.562e-14 3.973e-12 1.435e-18 2.539e-21
0.03375 2.481e-09 1.564e-14 4.028e-12 1.403e-18 2.409e-21
0.035 2.542e-09 1.567e-14 4.078e-12 1.38e-18 2.307e-21
0.03625 2.605e-09 1.571e-14 4.126e-12 1.362e-18 2.226e-21
0.0375 2.671e-09 1.577e-14 4.17e-12 1.35e-18 2.162e-21
0.03875 2.74e-09 1.584e-14 4.213e-12 1.342e-18 2.111e-21
0.04 2.809e-09 1.591e-14 4.254e-12 1.337e-18 2.069e-21
0.04125 2.881e-09 1.599e-14 4.293e-12 1.334e-18 2.036e-21
0.0425 2.954e-09 1.608e-14 4.331e-12 1.334e-18 2.009e-21
0.04375 3.027e-09 1.617e-14 4.368e-12 1.335e-18 1.986e-21
0.045 3.102e-09 1.626e-14 4.404e-12 1.338e-18 1.968e-21
0.04625 3.176e-09 1.636e-14 4.44e-12 1.342e-18 1.954e-21
0.0475 3.245e-09 1.645e-14 4.472e-12 1.346e-18 1.943e-21
0.05 3.245e-09 1.645e-14 4.472e-12 1.346e-18 1.943e-21
-------------------------------------------------------------------------------
z HCNO HOCN HNCO NCO AR
-------------------------------------------------------------------------------
0 1.984e-21 -6.242e-23 3.097e-20 1.092e-20 1.193e-103
0.005 1.987e-21 -6.237e-23 3.101e-20 1.32e-18 3.907e-102
0.01 2.417e-21 -5.653e-23 3.526e-20 1.32e-18 5.536e-102
0.0125 2.205e-20 2.101e-22 2.296e-19 1.32e-18 4.074e-102
0.01375 4.751e-19 6.364e-21 4.715e-18 1.332e-18 5.289e-102
0.015 1.457e-17 1.978e-19 1.443e-16 1.681e-18 8.97e-102
0.01562 1.808e-16 2.455e-18 1.79e-15 5.785e-18 1.2e-101
0.01594 1.202e-15 1.633e-17 1.19e-14 3.09e-17 1.314e-101
0.01625 9.914e-15 1.346e-16 9.815e-14 2.442e-16 1.317e-101
0.01656 8.421e-14 1.144e-15 8.337e-13 2.056e-15 1.061e-101
0.01672 3.311e-13 4.496e-15 3.278e-12 8.053e-15 6.105e-102
0.01688 1.506e-12 2.046e-14 1.491e-11 3.65e-14 -6.775e-102
0.01695 3.749e-12 5.092e-14 3.712e-11 9.062e-14 -2.313e-101
0.01703 1.019e-11 1.384e-13 1.009e-10 2.456e-13 -5.669e-101
0.01707 1.79e-11 2.431e-13 1.772e-10 4.308e-13 -8.626e-101
0.01711 3.274e-11 4.446e-13 3.241e-10 7.866e-13 -1.301e-100
0.01715 6.113e-11 8.303e-13 6.053e-10 1.467e-12 -1.929e-100
0.01719 1.15e-10 1.562e-12 1.139e-09 2.756e-12 -2.776e-100
0.01721 1.597e-10 2.169e-12 1.581e-09 3.827e-12 -3.258e-100
0.01723 2.237e-10 3.039e-12 2.215e-09 5.359e-12 -3.756e-100
0.01725 3.147e-10 4.274e-12 3.115e-09 7.537e-12 -4.221e-100
0.01727 4.427e-10 6.013e-12 4.383e-09 1.061e-11 -4.588e-100
0.01728 5.259e-10 7.142e-12 5.206e-09 1.261e-11 -4.708e-100
0.01729 6.252e-10 8.49e-12 6.189e-09 1.5e-11 -4.777e-100
0.01729 7.433e-10 1.009e-11 7.359e-09 1.784e-11 -4.788e-100
0.0173 8.833e-10 1.2e-11 8.745e-09 2.122e-11 -4.733e-100
0.01731 1.048e-09 1.424e-11 1.038e-08 2.521e-11 -4.61e-100
0.01732 1.243e-09 1.688e-11 1.23e-08 2.992e-11 -4.415e-100
0.01733 1.469e-09 1.996e-11 1.455e-08 3.543e-11 -4.148e-100
0.01734 1.734e-09 2.354e-11 1.716e-08 4.186e-11 -3.809e-100
0.01735 2.039e-09 2.77e-11 2.019e-08 4.934e-11 -3.4e-100
0.01736 2.392e-09 3.248e-11 2.368e-08 5.798e-11 -2.923e-100
0.01737 2.588e-09 3.514e-11 2.562e-08 6.28e-11 -2.661e-100
0.01737 2.797e-09 3.799e-11 2.769e-08 6.799e-11 -2.389e-100
0.01738 3.022e-09 4.105e-11 2.992e-08 7.355e-11 -2.107e-100
0.01738 3.262e-09 4.431e-11 3.23e-08 7.951e-11 -1.816e-100
0.01739 3.519e-09 4.78e-11 3.484e-08 8.591e-11 -1.516e-100
0.01739 3.793e-09 5.151e-11 3.755e-08 9.275e-11 -1.207e-100
0.0174 4.084e-09 5.547e-11 4.043e-08 1.001e-10 -8.894e-101
0.0174 4.395e-09 5.969e-11 4.35e-08 1.079e-10 -5.642e-101
0.01741 4.724e-09 6.416e-11 4.676e-08 1.163e-10 -2.312e-101
0.01741 5.074e-09 6.891e-11 5.022e-08 1.252e-10 1.094e-101
0.01742 5.444e-09 7.394e-11 5.389e-08 1.347e-10 4.574e-101
0.01742 5.837e-09 7.927e-11 5.777e-08 1.449e-10 8.125e-101
0.01743 6.251e-09 8.49e-11 6.187e-08 1.558e-10 1.175e-100
0.01743 6.689e-09 9.085e-11 6.62e-08 1.674e-10 1.544e-100
0.01744 7.152e-09 9.713e-11 7.076e-08 1.798e-10 1.92e-100
0.01744 7.639e-09 1.037e-10 7.557e-08 1.931e-10 2.303e-100
0.01745 8.152e-09 1.107e-10 8.063e-08 2.074e-10 2.692e-100
0.01745 8.692e-09 1.18e-10 8.595e-08 2.227e-10 3.088e-100
0.01746 9.26e-09 1.257e-10 9.154e-08 2.393e-10 3.49e-100
0.01746 9.856e-09 1.338e-10 9.739e-08 2.571e-10 3.899e-100
0.01747 1.048e-08 1.423e-10 1.035e-07 2.763e-10 4.314e-100
0.01747 1.114e-08 1.512e-10 1.1e-07 2.972e-10 4.735e-100
0.01748 1.183e-08 1.606e-10 1.167e-07 3.199e-10 5.163e-100
0.01748 1.255e-08 1.704e-10 1.237e-07 3.446e-10 5.596e-100
0.01749 1.33e-08 1.807e-10 1.31e-07 3.717e-10 6.036e-100
0.01749 1.41e-08 1.914e-10 1.386e-07 4.014e-10 6.481e-100
0.0175 1.492e-08 2.027e-10 1.466e-07 4.341e-10 6.932e-100
0.0175 1.579e-08 2.146e-10 1.549e-07 4.702e-10 7.39e-100
0.0175 1.67e-08 2.27e-10 1.635e-07 5.101e-10 7.853e-100
0.01751 1.765e-08 2.4e-10 1.724e-07 5.543e-10 8.321e-100
0.01751 1.864e-08 2.537e-10 1.817e-07 6.036e-10 8.795e-100
0.01752 1.968e-08 2.681e-10 1.913e-07 6.584e-10 9.275e-100
0.01752 2.077e-08 2.833e-10 2.013e-07 7.197e-10 9.76e-100
0.01753 2.191e-08 2.994e-10 2.116e-07 7.882e-10 1.025e-99
0.01753 2.311e-08 3.163e-10 2.223e-07 8.649e-10 1.075e-99
0.01754 2.436e-08 3.342e-10 2.333e-07 9.51e-10 1.125e-99
0.01754 2.567e-08 3.533e-10 2.447e-07 1.048e-09 1.176e-99
0.01755 2.704e-08 3.735e-10 2.565e-07 1.156e-09 1.227e-99
0.01755 2.848e-08 3.952e-10 2.687e-07 1.278e-09 1.278e-99
0.01756 2.999e-08 4.183e-10 2.812e-07 1.415e-09 1.331e-99
0.01756 3.157e-08 4.43e-10 2.94e-07 1.568e-09 1.383e-99
0.01757 3.323e-08 4.696e-10 3.073e-07 1.741e-09 1.437e-99
0.01757 3.497e-08 4.983e-10 3.209e-07 1.935e-09 1.49e-99
0.01758 3.679e-08 5.293e-10 3.349e-07 2.152e-09 1.545e-99
0.01758 3.87e-08 5.629e-10 3.492e-07 2.396e-09 1.599e-99
0.01759 4.071e-08 5.994e-10 3.639e-07 2.67e-09 1.655e-99
0.01759 4.28e-08 6.39e-10 3.789e-07 2.976e-09 1.71e-99
0.0176 4.499e-08 6.823e-10 3.942e-07 3.318e-09 1.767e-99
0.0176 4.729e-08 7.295e-10 4.099e-07 3.7e-09 1.823e-99
0.01761 4.968e-08 7.812e-10 4.258e-07 4.126e-09 1.881e-99
0.01761 5.216e-08 8.377e-10 4.42e-07 4.601e-09 1.938e-99
0.01762 5.475e-08 8.997e-10 4.585e-07 5.129e-09 1.997e-99
0.01762 5.744e-08 9.676e-10 4.752e-07 5.714e-09 2.056e-99
0.01763 6.022e-08 1.042e-09 4.92e-07 6.364e-09 2.115e-99
0.01763 6.309e-08 1.124e-09 5.09e-07 7.082e-09 2.175e-99
0.01764 6.604e-08 1.213e-09 5.261e-07 7.875e-09 2.235e-99
0.01764 6.906e-08 1.311e-09 5.431e-07 8.748e-09 2.296e-99
0.01765 7.214e-08 1.418e-09 5.602e-07 9.708e-09 2.357e-99
0.01765 7.37e-08 1.475e-09 5.687e-07 1.022e-08 2.388e-99
0.01765 7.527e-08 1.534e-09 5.771e-07 1.076e-08 2.418e-99
0.01765 7.684e-08 1.597e-09 5.855e-07 1.132e-08 2.448e-99
0.01766 7.842e-08 1.662e-09 5.938e-07 1.191e-08 2.478e-99
0.01766 8.001e-08 1.73e-09 6.021e-07 1.253e-08 2.507e-99
0.01766 8.159e-08 1.8e-09 6.103e-07 1.317e-08 2.536e-99
0.01766 8.317e-08 1.874e-09 6.184e-07 1.384e-08 2.564e-99
0.01767 8.475e-08 1.95e-09 6.263e-07 1.454e-08 2.592e-99
0.01767 8.632e-08 2.03e-09 6.342e-07 1.526e-08 2.619e-99
0.01767 8.787e-08 2.113e-09 6.42e-07 1.602e-08 2.646e-99
0.01767 8.942e-08 2.199e-09 6.496e-07 1.68e-08 2.673e-99
0.01768 9.094e-08 2.288e-09 6.57e-07 1.761e-08 2.699e-99
0.01768 9.244e-08 2.38e-09 6.643e-07 1.846e-08 2.725e-99
0.01768 9.391e-08 2.476e-09 6.714e-07 1.933e-08 2.75e-99
0.01768 9.536e-08 2.575e-09 6.783e-07 2.024e-08 2.775e-99
0.01769 9.677e-08 2.678e-09 6.85e-07 2.117e-08 2.799e-99
0.01769 9.814e-08 2.784e-09 6.915e-07 2.214e-08 2.823e-99
0.01769 9.947e-08 2.893e-09 6.977e-07 2.314e-08 2.846e-99
0.01769 1.008e-07 3.005e-09 7.037e-07 2.416e-08 2.869e-99
0.0177 1.02e-07 3.121e-09 7.094e-07 2.522e-08 2.892e-99
0.0177 1.032e-07 3.24e-09 7.148e-07 2.63e-08 2.914e-99
0.0177 1.043e-07 3.362e-09 7.2e-07 2.742e-08 2.935e-99
0.0177 1.054e-07 3.487e-09 7.248e-07 2.856e-08 2.957e-99
0.01771 1.064e-07 3.615e-09 7.293e-07 2.972e-08 2.977e-99
0.01771 1.073e-07 3.746e-09 7.335e-07 3.092e-08 2.997e-99
0.01771 1.081e-07 3.88e-09 7.374e-07 3.213e-08 3.017e-99
0.01771 1.089e-07 4.016e-09 7.409e-07 3.337e-08 3.036e-99
0.01771 1.096e-07 4.155e-09 7.441e-07 3.463e-08 3.055e-99
0.01772 1.102e-07 4.295e-09 7.468e-07 3.59e-08 3.073e-99
0.01772 1.108e-07 4.438e-09 7.492e-07 3.72e-08 3.091e-99
0.01772 1.112e-07 4.583e-09 7.513e-07 3.851e-08 3.109e-99
0.01772 1.116e-07 4.728e-09 7.529e-07 3.982e-08 3.125e-99
0.01773 1.118e-07 4.875e-09 7.541e-07 4.115e-08 3.142e-99
0.01773 1.12e-07 5.023e-09 7.549e-07 4.249e-08 3.157e-99
0.01773 1.12e-07 5.172e-09 7.553e-07 4.383e-08 3.173e-99
0.01773 1.12e-07 5.32e-09 7.553e-07 4.516e-08 3.187e-99
0.01774 1.119e-07 5.469e-09 7.549e-07 4.65e-08 3.202e-99
0.01774 1.116e-07 5.617e-09 7.54e-07 4.783e-08 3.215e-99
0.01774 1.109e-07 5.91e-09 7.511e-07 5.046e-08 3.242e-99
0.01775 1.097e-07 6.197e-09 7.465e-07 5.302e-08 3.269e-99
0.01775 1.082e-07 6.474e-09 7.404e-07 5.549e-08 3.295e-99
0.01776 1.063e-07 6.738e-09 7.326e-07 5.784e-08 3.322e-99
0.01776 1.04e-07 6.986e-09 7.234e-07 6.004e-08 3.348e-99
0.01777 1.027e-07 7.103e-09 7.182e-07 6.107e-08 3.361e-99
0.01777 1.014e-07 7.214e-09 7.127e-07 6.206e-08 3.373e-99
0.01777 9.998e-08 7.32e-09 7.069e-07 6.299e-08 3.385e-99
0.01777 9.85e-08 7.421e-09 7.007e-07 6.388e-08 3.397e-99
0.01778 9.694e-08 7.515e-09 6.942e-07 6.47e-08 3.407e-99
0.01778 9.533e-08 7.603e-09 6.874e-07 6.547e-08 3.418e-99
0.01778 9.365e-08 7.684e-09 6.804e-07 6.618e-08 3.428e-99
0.01778 9.192e-08 7.759e-09 6.73e-07 6.683e-08 3.437e-99
0.01779 9.014e-08 7.826e-09 6.655e-07 6.741e-08 3.445e-99
0.01779 8.832e-08 7.886e-09 6.576e-07 6.793e-08 3.454e-99
0.01779 8.646e-08 7.939e-09 6.496e-07 6.839e-08 3.461e-99
0.01779 8.456e-08 7.985e-09 6.413e-07 6.878e-08 3.468e-99
0.0178 8.263e-08 8.023e-09 6.329e-07 6.91e-08 3.475e-99
0.0178 8.068e-08 8.054e-09 6.243e-07 6.936e-08 3.48e-99
0.0178 7.67e-08 8.094e-09 6.065e-07 6.967e-08 3.491e-99
0.01781 7.269e-08 8.104e-09 5.883e-07 6.972e-08 3.501e-99
0.01781 6.866e-08 8.086e-09 5.696e-07 6.953e-08 3.511e-99
0.01782 6.465e-08 8.042e-09 5.507e-07 6.909e-08 3.521e-99
0.01782 6.07e-08 7.972e-09 5.316e-07 6.843e-08 3.53e-99
0.01783 5.682e-08 7.878e-09 5.124e-07 6.756e-08 3.538e-99
0.01783 5.305e-08 7.763e-09 4.932e-07 6.65e-08 3.546e-99
0.01784 4.939e-08 7.628e-09 4.742e-07 6.527e-08 3.554e-99
0.01784 4.587e-08 7.477e-09 4.553e-07 6.39e-08 3.561e-99
0.01785 4.249e-08 7.311e-09 4.367e-07 6.24e-08 3.568e-99
0.01785 3.928e-08 7.132e-09 4.184e-07 6.078e-08 3.574e-99
0.01786 3.623e-08 6.943e-09 4.005e-07 5.908e-08 3.58e-99
0.01786 3.335e-08 6.746e-09 3.831e-07 5.732e-08 3.585e-99
0.01787 3.064e-08 6.542e-09 3.66e-07 5.549e-08 3.59e-99
0.01787 2.81e-08 6.334e-09 3.495e-07 5.364e-08 3.594e-99
0.01788 2.573e-08 6.123e-09 3.335e-07 5.176e-08 3.597e-99
0.01788 2.352e-08 5.911e-09 3.18e-07 4.988e-08 3.6e-99
0.01789 1.958e-08 5.487e-09 2.887e-07 4.612e-08 3.605e-99
0.0179 1.622e-08 5.071e-09 2.616e-07 4.246e-08 3.61e-99
0.01791 1.337e-08 4.671e-09 2.366e-07 3.894e-08 3.614e-99
0.01792 1.099e-08 4.289e-09 2.138e-07 3.56e-08 3.618e-99
0.01793 8.995e-09 3.929e-09 1.93e-07 3.246e-08 3.622e-99
0.01794 7.344e-09 3.593e-09 1.741e-07 2.954e-08 3.625e-99
0.01795 5.982e-09 3.281e-09 1.57e-07 2.684e-08 3.627e-99
0.01796 4.863e-09 2.992e-09 1.415e-07 2.435e-08 3.629e-99
0.01797 3.946e-09 2.726e-09 1.275e-07 2.207e-08 3.631e-99
0.01799 2.614e-09 2.262e-09 1.038e-07 1.812e-08 3.633e-99
0.01801 1.726e-09 1.874e-09 8.457e-08 1.485e-08 3.635e-99
0.01803 1.136e-09 1.552e-09 6.898e-08 1.215e-08 3.637e-99
0.01805 7.428e-10 1.284e-09 5.635e-08 9.945e-09 3.638e-99
0.01809 3.402e-10 8.911e-10 3.829e-08 6.744e-09 3.64e-99
0.01813 1.574e-10 6.2e-10 2.622e-08 4.585e-09 3.642e-99
0.01816 7.368e-11 4.327e-10 1.808e-08 3.129e-09 3.644e-99
0.0182 3.495e-11 3.031e-10 1.256e-08 2.143e-09 3.646e-99
0.01824 1.68e-11 2.13e-10 8.777e-09 1.474e-09 3.647e-99
0.01828 8.181e-12 1.501e-10 6.168e-09 1.018e-09 3.649e-99
0.01832 4.014e-12 1.06e-10 4.354e-09 7.048e-10 3.65e-99
0.01836 1.934e-12 7.488e-11 3.082e-09 4.886e-10 3.651e-99
0.01844 5.801e-13 3.996e-11 1.65e-09 2.521e-10 3.652e-99
0.01852 1.813e-13 2.16e-11 9.027e-10 1.326e-10 3.654e-99
0.01859 5.887e-14 1.182e-11 5.056e-10 7.135e-11 3.655e-99
0.01867 1.983e-14 6.55e-12 2.918e-10 3.952e-11 3.657e-99
0.01875 6.915e-15 3.677e-12 1.754e-10 2.277e-11 3.658e-99
0.01883 2.494e-15 2.095e-12 1.114e-10 1.386e-11 3.659e-99
0.01891 9.291e-16 1.215e-12 7.6e-11 9.065e-12 3.66e-99
0.01898 3.564e-16 7.19e-13 5.63e-11 6.456e-12 3.661e-99
0.01906 1.35e-16 4.34e-13 4.526e-11 5.01e-12 3.662e-99
0.01922 3.319e-17 2.083e-13 3.722e-11 3.926e-12 3.662e-99
0.01938 1.093e-17 1.249e-13 3.515e-11 3.576e-12 3.663e-99
0.01953 5.808e-18 9.512e-14 3.534e-11 3.486e-12 3.664e-99
0.01969 4.701e-18 8.626e-14 3.639e-11 3.491e-12 3.665e-99
0.01984 4.622e-18 8.569e-14 3.78e-11 3.531e-12 3.665e-99
0.02 4.833e-18 8.843e-14 3.933e-11 3.583e-12 3.665e-99
0.02031 5.484e-18 9.744e-14 4.25e-11 3.693e-12 3.666e-99
0.02063 6.202e-18 1.074e-13 4.566e-11 3.799e-12 3.666e-99
0.02094 6.946e-18 1.175e-13 4.88e-11 3.899e-12 3.666e-99
0.02125 7.699e-18 1.274e-13 5.187e-11 3.993e-12 3.666e-99
0.02188 9.172e-18 1.463e-13 5.763e-11 4.158e-12 3.667e-99
0.0225 1.063e-17 1.644e-13 6.312e-11 4.304e-12 3.667e-99
0.02312 1.207e-17 1.817e-13 6.832e-11 4.435e-12 3.667e-99
0.02375 1.346e-17 1.981e-13 7.32e-11 4.551e-12 3.667e-99
0.025 1.594e-17 2.265e-13 8.166e-11 4.742e-12 3.667e-99
0.02625 1.82e-17 2.518e-13 8.913e-11 4.9e-12 3.667e-99
0.0275 2.023e-17 2.741e-13 9.569e-11 5.035e-12 3.667e-99
0.02875 2.204e-17 2.937e-13 1.014e-10 5.151e-12 3.667e-99
0.03 2.365e-17 3.109e-13 1.065e-10 5.252e-12 3.666e-99
0.03125 2.507e-17 3.259e-13 1.109e-10 5.342e-12 3.667e-99
0.0325 2.633e-17 3.391e-13 1.148e-10 5.423e-12 3.667e-99
0.03375 2.743e-17 3.507e-13 1.182e-10 5.497e-12 3.667e-99
0.035 2.842e-17 3.61e-13 1.213e-10 5.565e-12 3.667e-99
0.03625 2.929e-17 3.701e-13 1.24e-10 5.629e-12 3.667e-99
0.0375 3.007e-17 3.783e-13 1.265e-10 5.689e-12 3.667e-99
0.03875 3.077e-17 3.856e-13 1.287e-10 5.746e-12 3.667e-99
0.04 3.141e-17 3.923e-13 1.308e-10 5.8e-12 3.667e-99
0.04125 3.199e-17 3.983e-13 1.326e-10 5.852e-12 3.667e-99
0.0425 3.252e-17 4.039e-13 1.344e-10 5.903e-12 3.667e-99
0.04375 3.301e-17 4.091e-13 1.36e-10 5.952e-12 3.667e-99
0.045 3.347e-17 4.14e-13 1.376e-10 6.001e-12 3.667e-99
0.04625 3.389e-17 4.185e-13 1.39e-10 6.047e-12 3.667e-99
0.0475 3.426e-17 4.224e-13 1.403e-10 6.09e-12 3.668e-99
0.05 3.426e-17 4.224e-13 1.403e-10 6.09e-12 3.668e-99
-------------------------------------------------------------------------------
z C3H7 C3H8 CH2CHO CH3CHO HCO+
-------------------------------------------------------------------------------
0 -9.93e-18 1.134e-20 -7.645e-37 1.991e-20 -1.723e-16
0.005 -9.93e-18 1.135e-20 -1.088e-34 2.01e-20 -1.723e-16
0.01 -9.93e-18 1.282e-20 -1.006e-33 4.767e-20 -1.709e-16
0.0125 -9.93e-18 1.051e-19 1.65e-30 1.529e-18 -1.7e-16
0.01375 -9.93e-18 3.016e-18 5.2e-28 4.169e-17 -1.639e-16
0.015 -9.91e-18 1.265e-16 2.484e-25 1.507e-15 -9.111e-17
0.01562 -9.598e-18 2.105e-15 2.053e-23 2.174e-14 -2.011e-17
0.01594 -7.035e-18 1.845e-14 5.137e-22 1.665e-13 -2.118e-18
0.01625 2.193e-17 2.04e-13 1.855e-20 1.595e-12 -4.108e-20
0.01656 3.496e-16 2.311e-12 7.133e-19 1.57e-11 -1.321e-22
0.01672 1.788e-15 1.154e-11 6.918e-18 6.969e-11 -2.863e-25
0.01688 1.072e-14 6.851e-11 8.429e-17 3.63e-10 -1.849e-28
0.01695 3.316e-14 2.073e-10 3.747e-16 9.962e-10 -1.243e-31
0.01703 1.162e-13 7.032e-10 1.929e-15 3.025e-09 -4.039e-35
0.01707 2.459e-13 1.427e-09 4.942e-15 5.707e-09 1.538e-37
0.01711 5.585e-13 3.072e-09 1.375e-14 1.131e-08 1.431e-36
0.01715 1.326e-12 6.786e-09 4.122e-14 2.294e-08 1.265e-35
0.01719 3.27e-12 1.51e-08 1.33e-13 4.685e-08 1.233e-34
0.01721 5.441e-12 2.304e-08 2.568e-13 6.809e-08 4.34e-34
0.01723 9.338e-12 3.572e-08 5.19e-13 1.001e-07 1.641e-33
0.01725 1.641e-11 5.579e-08 1.102e-12 1.48e-07 6.783e-33
0.01727 2.946e-11 8.725e-08 2.464e-12 2.189e-07 3.103e-32
0.01728 4.029e-11 1.095e-07 3.871e-12 2.668e-07 7.126e-32
0.01729 5.566e-11 1.378e-07 6.239e-12 3.256e-07 1.697e-31
0.01729 7.753e-11 1.736e-07 1.04e-11 3.976e-07 4.217e-31
0.0173 1.088e-10 2.187e-07 1.806e-11 4.853e-07 1.099e-30
0.01731 1.535e-10 2.752e-07 3.28e-11 5.915e-07 3.017e-30
0.01732 2.177e-10 3.455e-07 6.23e-11 7.197e-07 8.783e-30
0.01733 3.101e-10 4.327e-07 1.23e-10 8.734e-07 2.726e-29
0.01734 4.434e-10 5.401e-07 2.497e-10 1.057e-06 9.041e-29
0.01735 6.359e-10 6.716e-07 5.131e-10 1.275e-06 3.192e-28
0.01736 9.136e-10 8.316e-07 1.051e-09 1.531e-06 1.186e-27
0.01737 1.099e-09 9.242e-07 1.521e-09 1.677e-06 2.371e-27
0.01737 1.323e-09 1.026e-06 2.185e-09 1.834e-06 4.753e-27
0.01738 1.594e-09 1.139e-06 3.113e-09 2.005e-06 9.57e-27
0.01738 1.92e-09 1.262e-06 4.399e-09 2.19e-06 1.933e-26
0.01739 2.314e-09 1.398e-06 6.162e-09 2.39e-06 3.912e-26
0.01739 2.788e-09 1.547e-06 8.551e-09 2.606e-06 7.919e-26
0.0174 3.357e-09 1.709e-06 1.175e-08 2.839e-06 1.601e-25
0.0174 4.04e-09 1.887e-06 1.599e-08 3.089e-06 3.225e-25
0.01741 4.855e-09 2.08e-06 2.152e-08 3.358e-06 6.47e-25
0.01741 5.828e-09 2.29e-06 2.868e-08 3.647e-06 1.29e-24
0.01742 6.984e-09 2.518e-06 3.781e-08 3.957e-06 2.554e-24
0.01742 8.354e-09 2.765e-06 4.932e-08 4.288e-06 5.012e-24
0.01743 9.97e-09 3.032e-06 6.366e-08 4.643e-06 9.74e-24
0.01743 1.187e-08 3.321e-06 8.133e-08 5.021e-06 1.873e-23
0.01744 1.409e-08 3.631e-06 1.028e-07 5.425e-06 3.56e-23
0.01744 1.668e-08 3.966e-06 1.287e-07 5.855e-06 6.683e-23
0.01745 1.966e-08 4.325e-06 1.595e-07 6.314e-06 1.239e-22
0.01745 2.31e-08 4.709e-06 1.958e-07 6.801e-06 2.267e-22
0.01746 2.701e-08 5.121e-06 2.38e-07 7.319e-06 4.093e-22
0.01746 3.144e-08 5.56e-06 2.866e-07 7.869e-06 7.293e-22
0.01747 3.64e-08 6.027e-06 3.42e-07 8.452e-06 1.282e-21
0.01747 4.19e-08 6.525e-06 4.045e-07 9.07e-06 2.224e-21
0.01748 4.794e-08 7.052e-06 4.742e-07 9.725e-06 3.81e-21
0.01748 5.447e-08 7.61e-06 5.512e-07 1.042e-05 6.444e-21
0.01749 6.143e-08 8.199e-06 6.353e-07 1.115e-05 1.077e-20
0.01749 6.873e-08 8.819e-06 7.263e-07 1.192e-05 1.779e-20
0.0175 7.624e-08 9.471e-06 8.237e-07 1.274e-05 2.908e-20
0.0175 8.382e-08 1.015e-05 9.266e-07 1.36e-05 4.706e-20
0.0175 9.126e-08 1.087e-05 1.034e-06 1.451e-05 7.547e-20
0.01751 9.84e-08 1.161e-05 1.145e-06 1.547e-05 1.2e-19
0.01751 1.05e-07 1.238e-05 1.258e-06 1.648e-05 1.895e-19
0.01752 1.11e-07 1.318e-05 1.372e-06 1.754e-05 2.974e-19
0.01752 1.162e-07 1.4e-05 1.484e-06 1.866e-05 4.643e-19
0.01753 1.207e-07 1.484e-05 1.593e-06 1.984e-05 7.218e-19
0.01753 1.243e-07 1.57e-05 1.697e-06 2.107e-05 1.118e-18
0.01754 1.273e-07 1.657e-05 1.794e-06 2.236e-05 1.729e-18
0.01754 1.299e-07 1.745e-05 1.882e-06 2.371e-05 2.667e-18
0.01755 1.323e-07 1.832e-05 1.959e-06 2.513e-05 4.109e-18
0.01755 1.348e-07 1.919e-05 2.025e-06 2.661e-05 6.324e-18
0.01756 1.377e-07 2.004e-05 2.079e-06 2.815e-05 9.726e-18
0.01756 1.411e-07 2.087e-05 2.121e-06 2.976e-05 1.495e-17
0.01757 1.454e-07 2.165e-05 2.151e-06 3.142e-05 2.295e-17
0.01757 1.506e-07 2.238e-05 2.172e-06 3.315e-05 3.521e-17
0.01758 1.569e-07 2.305e-05 2.183e-06 3.493e-05 5.394e-17
0.01758 1.642e-07 2.364e-05 2.189e-06 3.675e-05 8.249e-17
0.01759 1.725e-07 2.413e-05 2.19e-06 3.863e-05 1.259e-16
0.01759 1.819e-07 2.452e-05 2.19e-06 4.053e-05 1.916e-16
0.0176 1.922e-07 2.478e-05 2.19e-06 4.246e-05 2.908e-16
0.0176 2.032e-07 2.49e-05 2.193e-06 4.44e-05 4.398e-16
0.01761 2.149e-07 2.487e-05 2.199e-06 4.634e-05 6.623e-16
0.01761 2.271e-07 2.469e-05 2.211e-06 4.826e-05 9.931e-16
0.01762 2.396e-07 2.434e-05 2.228e-06 5.013e-05 1.482e-15
0.01762 2.521e-07 2.382e-05 2.25e-06 5.195e-05 2.198e-15
0.01763 2.644e-07 2.314e-05 2.277e-06 5.369e-05 3.242e-15
0.01763 2.763e-07 2.23e-05 2.309e-06 5.532e-05 4.75e-15
0.01764 2.874e-07 2.131e-05 2.343e-06 5.681e-05 6.913e-15
0.01764 2.973e-07 2.019e-05 2.379e-06 5.815e-05 9.988e-15
0.01765 3.059e-07 1.895e-05 2.415e-06 5.931e-05 1.431e-14
0.01765 3.095e-07 1.83e-05 2.433e-06 5.98e-05 1.709e-14
0.01765 3.126e-07 1.762e-05 2.45e-06 6.025e-05 2.036e-14
0.01765 3.152e-07 1.693e-05 2.467e-06 6.063e-05 2.421e-14
0.01766 3.172e-07 1.623e-05 2.483e-06 6.095e-05 2.872e-14
0.01766 3.185e-07 1.552e-05 2.497e-06 6.121e-05 3.399e-14
0.01766 3.192e-07 1.48e-05 2.51e-06 6.14e-05 4.014e-14
0.01766 3.193e-07 1.408e-05 2.522e-06 6.152e-05 4.73e-14
0.01767 3.186e-07 1.335e-05 2.532e-06 6.157e-05 5.56e-14
0.01767 3.172e-07 1.263e-05 2.54e-06 6.154e-05 6.52e-14
0.01767 3.15e-07 1.192e-05 2.547e-06 6.144e-05 7.627e-14
0.01767 3.121e-07 1.122e-05 2.551e-06 6.127e-05 8.9e-14
0.01768 3.084e-07 1.053e-05 2.552e-06 6.102e-05 1.036e-13
0.01768 3.04e-07 9.85e-06 2.552e-06 6.069e-05 1.203e-13
0.01768 2.988e-07 9.191e-06 2.549e-06 6.028e-05 1.393e-13
0.01768 2.929e-07 8.553e-06 2.543e-06 5.98e-05 1.608e-13
0.01769 2.863e-07 7.936e-06 2.534e-06 5.923e-05 1.852e-13
0.01769 2.79e-07 7.343e-06 2.523e-06 5.86e-05 2.128e-13
0.01769 2.711e-07 6.775e-06 2.509e-06 5.789e-05 2.437e-13
0.01769 2.627e-07 6.232e-06 2.492e-06 5.71e-05 2.784e-13
0.0177 2.537e-07 5.716e-06 2.472e-06 5.624e-05 3.171e-13
0.0177 2.442e-07 5.228e-06 2.449e-06 5.532e-05 3.602e-13
0.0177 2.343e-07 4.767e-06 2.423e-06 5.433e-05 4.079e-13
0.0177 2.242e-07 4.334e-06 2.394e-06 5.327e-05 4.606e-13
0.01771 2.137e-07 3.929e-06 2.363e-06 5.216e-05 5.186e-13
0.01771 2.031e-07 3.551e-06 2.328e-06 5.099e-05 5.822e-13
0.01771 1.923e-07 3.2e-06 2.291e-06 4.977e-05 6.516e-13
0.01771 1.815e-07 2.875e-06 2.252e-06 4.85e-05 7.271e-13
0.01771 1.707e-07 2.575e-06 2.21e-06 4.719e-05 8.088e-13
0.01772 1.6e-07 2.3e-06 2.165e-06 4.584e-05 8.969e-13
0.01772 1.494e-07 2.048e-06 2.119e-06 4.445e-05 9.915e-13
0.01772 1.39e-07 1.819e-06 2.07e-06 4.304e-05 1.093e-12
0.01772 1.289e-07 1.61e-06 2.02e-06 4.16e-05 1.2e-12
0.01773 1.191e-07 1.421e-06 1.967e-06 4.015e-05 1.315e-12
0.01773 1.097e-07 1.251e-06 1.913e-06 3.868e-05 1.435e-12
0.01773 1.006e-07 1.097e-06 1.858e-06 3.721e-05 1.562e-12
0.01773 9.199e-08 9.6e-07 1.801e-06 3.573e-05 1.694e-12
0.01774 8.379e-08 8.375e-07 1.744e-06 3.425e-05 1.831e-12
0.01774 7.607e-08 7.285e-07 1.686e-06 3.277e-05 1.974e-12
0.01774 6.206e-08 5.475e-07 1.567e-06 2.986e-05 2.27e-12
0.01775 4.993e-08 4.07e-07 1.447e-06 2.702e-05 2.578e-12
0.01775 3.962e-08 2.992e-07 1.328e-06 2.429e-05 2.889e-12
0.01776 3.101e-08 2.177e-07 1.211e-06 2.169e-05 3.196e-12
0.01776 2.394e-08 1.568e-07 1.097e-06 1.924e-05 3.491e-12
0.01777 2.091e-08 1.323e-07 1.042e-06 1.807e-05 3.631e-12
0.01777 1.82e-08 1.114e-07 9.875e-07 1.695e-05 3.765e-12
0.01777 1.579e-08 9.351e-08 9.346e-07 1.587e-05 3.892e-12
0.01777 1.365e-08 7.833e-08 8.831e-07 1.484e-05 4.01e-12
0.01778 1.176e-08 6.545e-08 8.332e-07 1.385e-05 4.119e-12
0.01778 1.011e-08 5.455e-08 7.849e-07 1.291e-05 4.219e-12
0.01778 8.653e-09 4.536e-08 7.382e-07 1.201e-05 4.307e-12
0.01778 7.386e-09 3.763e-08 6.932e-07 1.116e-05 4.385e-12
0.01779 6.285e-09 3.114e-08 6.499e-07 1.035e-05 4.45e-12
0.01779 5.332e-09 2.571e-08 6.085e-07 9.591e-06 4.504e-12
0.01779 4.51e-09 2.118e-08 5.688e-07 8.872e-06 4.545e-12
0.01779 3.803e-09 1.74e-08 5.309e-07 8.195e-06 4.573e-12
0.0178 3.197e-09 1.427e-08 4.949e-07 7.56e-06 4.589e-12
0.0178 2.679e-09 1.166e-08 4.606e-07 6.964e-06 4.593e-12
0.0178 1.876e-09 7.803e-09 3.974e-07 5.889e-06 4.562e-12
0.01781 1.3e-09 5.18e-09 3.411e-07 4.954e-06 4.485e-12
0.01781 8.929e-10 3.413e-09 2.911e-07 4.147e-06 4.366e-12
0.01782 6.074e-10 2.234e-09 2.473e-07 3.456e-06 4.209e-12
0.01782 4.096e-10 1.452e-09 2.09e-07 2.867e-06 4.022e-12
0.01783 2.739e-10 9.38e-10 1.758e-07 2.369e-06 3.809e-12
0.01783 1.817e-10 6.023e-10 1.472e-07 1.95e-06 3.579e-12
0.01784 1.196e-10 3.846e-10 1.228e-07 1.599e-06 3.336e-12
0.01784 7.823e-11 2.443e-10 1.02e-07 1.307e-06 3.087e-12
0.01785 5.08e-11 1.544e-10 8.445e-08 1.064e-06 2.837e-12
0.01785 3.279e-11 9.71e-11 6.965e-08 8.644e-07 2.591e-12
0.01786 2.104e-11 6.08e-11 5.725e-08 7e-07 2.351e-12
0.01786 1.342e-11 3.791e-11 4.691e-08 5.655e-07 2.122e-12
0.01787 8.513e-12 2.353e-11 3.833e-08 4.556e-07 1.904e-12
0.01787 5.365e-12 1.453e-11 3.122e-08 3.662e-07 1.701e-12
0.01788 3.351e-12 8.897e-12 2.537e-08 2.937e-07 1.512e-12
0.01788 2.058e-12 5.357e-12 2.055e-08 2.349e-07 1.339e-12
0.01789 8.275e-13 2.086e-12 1.352e-08 1.511e-07 1.04e-12
0.0179 3.291e-13 8.051e-13 8.833e-09 9.669e-08 7.976e-13
0.01791 1.296e-13 3.083e-13 5.74e-09 6.162e-08 6.048e-13
0.01792 5.063e-14 1.173e-13 3.712e-09 3.913e-08 4.542e-13
0.01793 1.964e-14 4.438e-14 2.392e-09 2.478e-08 3.382e-13
0.01794 7.572e-15 1.672e-14 1.535e-09 1.566e-08 2.5e-13
0.01795 2.903e-15 6.27e-15 9.821e-10 9.859e-09 1.836e-13
0.01796 1.098e-15 2.322e-15 6.248e-10 6.176e-09 1.338e-13
0.01797 3.824e-16 7.889e-16 3.93e-10 3.822e-09 9.685e-14
0.01799 6.823e-17 1.36e-16 1.66e-10 1.577e-09 5.169e-14
0.01801 1.213e-17 2.338e-17 6.998e-11 6.504e-10 2.73e-14
0.01803 2.147e-18 3.999e-18 2.93e-11 2.663e-10 1.421e-14
0.01805 3.161e-19 5.654e-19 1.163e-11 1.026e-10 7.139e-15
0.01809 2.034e-20 3.521e-20 2.514e-12 2.152e-11 2.12e-15
0.01813 1.303e-21 2.197e-21 5.541e-13 4.58e-12 6.29e-16
0.01816 8.367e-23 1.381e-22 1.251e-13 9.899e-13 1.868e-16
0.0182 5.413e-24 8.771e-24 2.901e-14 2.174e-13 5.57e-17
0.01824 3.537e-25 5.638e-25 6.921e-15 4.854e-14 1.67e-17
0.01828 2.339e-26 3.672e-26 1.7e-15 1.101e-14 5.034e-18
0.01832 1.563e-27 2.422e-27 4.271e-16 2.526e-15 1.517e-18
0.01836 8.311e-29 1.273e-28 9.811e-17 5.113e-16 4.14e-19
0.01844 1.872e-30 2.916e-30 1.117e-17 5.111e-17 5.609e-20
0.01852 4.297e-32 6.813e-32 1.347e-18 5.311e-18 7.96e-21
0.01859 1.015e-33 1.629e-33 1.718e-19 5.726e-19 1.265e-21
0.01867 2.478e-35 3.992e-35 2.32e-20 6.396e-20 2.889e-22
0.01875 6.306e-37 1.004e-36 3.422e-21 7.392e-21 1.298e-22
0.01883 1.735e-38 2.605e-38 6.452e-22 8.843e-22 9.39e-23
0.01891 5.778e-40 7.103e-40 2.203e-22 1.107e-22 7.922e-23
0.01898 3.187e-41 2.17e-41 1.381e-22 1.557e-23 6.958e-23
0.01906 6.074e-42 7.847e-43 1.104e-22 3.104e-24 6.2e-23
0.01922 4.182e-42 9.73e-44 8.202e-23 1.317e-24 5.042e-23
0.01938 3.854e-42 7.753e-44 6.321e-23 9.856e-25 4.178e-23
0.01953 3.61e-42 7.298e-44 4.981e-23 7.935e-25 3.513e-23
0.01969 3.399e-42 6.966e-44 3.998e-23 6.517e-25 2.99e-23
0.01984 3.214e-42 6.69e-44 3.262e-23 5.431e-25 2.572e-23
0.02 3.051e-42 6.452e-44 2.701e-23 4.584e-25 2.233e-23
0.02031 2.784e-42 6.065e-44 1.931e-23 3.388e-25 1.728e-23
0.02063 2.566e-42 5.741e-44 1.434e-23 2.589e-25 1.371e-23
0.02094 2.385e-42 5.464e-44 1.1e-23 2.035e-25 1.111e-23
0.02125 2.234e-42 5.224e-44 8.677e-24 1.639e-25 9.175e-24
0.02188 2.003e-42 4.837e-44 5.828e-24 1.14e-25 6.6e-24
0.0225 1.829e-42 4.528e-44 4.169e-24 8.376e-26 4.968e-24
0.02312 1.695e-42 4.279e-44 3.135e-24 6.439e-26 3.881e-24
0.02375 1.59e-42 4.077e-44 2.455e-24 5.135e-26 3.13e-24
0.025 1.443e-42 3.781e-44 1.68e-24 3.61e-26 2.227e-24
0.02625 1.34e-42 3.565e-44 1.248e-24 2.734e-26 1.697e-24
0.0275 1.265e-42 3.403e-44 9.853e-25 2.191e-26 1.364e-24
0.02875 1.209e-42 3.278e-44 8.154e-25 1.834e-26 1.143e-24
0.03 1.167e-42 3.18e-44 7e-25 1.589e-26 9.902e-25
0.03125 1.133e-42 3.103e-44 6.185e-25 1.414e-26 8.807e-25
0.0325 1.107e-42 3.042e-44 5.593e-25 1.285e-26 8.002e-25
0.03375 1.086e-42 2.993e-44 5.152e-25 1.189e-26 7.398e-25
0.035 1.069e-42 2.953e-44 4.817e-25 1.116e-26 6.936e-25
0.03625 1.056e-42 2.92e-44 4.559e-25 1.06e-26 6.577e-25
0.0375 1.045e-42 2.894e-44 4.357e-25 1.015e-26 6.296e-25
0.03875 1.036e-42 2.873e-44 4.199e-25 9.803e-27 6.073e-25
0.04 1.029e-42 2.855e-44 4.073e-25 9.524e-27 5.895e-25
0.04125 1.023e-42 2.842e-44 3.972e-25 9.301e-27 5.752e-25
0.0425 1.019e-42 2.832e-44 3.89e-25 9.122e-27 5.637e-25
0.04375 1.018e-42 2.831e-44 3.825e-25 8.977e-27 5.543e-25
0.045 1.025e-42 2.851e-44 3.772e-25 8.86e-27 5.466e-25
0.04625 1.054e-42 2.932e-44 3.73e-25 8.768e-27 5.405e-25
0.0475 1.068e-42 2.974e-44 3.699e-25 8.701e-27 5.36e-25
0.05 1.068e-42 2.974e-44 3.699e-25 8.701e-27 5.36e-25
-------------------------------------------------------------------------------
z H3O+ E
-------------------------------------------------------------------------------
0 1.155e-15 4.692e-20
0.005 1.155e-15 4.699e-20
0.01 1.156e-15 6.597e-20
0.0125 1.155e-15 1.076e-19
0.01375 1.15e-15 1.76e-19
0.015 1.101e-15 3.702e-19
0.01562 1.055e-15 6.779e-19
0.01594 1.042e-15 1.02e-18
0.01625 1.039e-15 1.677e-18
0.01656 1.054e-15 3.205e-18
0.01672 1.138e-15 5.05e-18
0.01688 1.795e-15 8.905e-18
0.01695 3.816e-15 1.293e-17
0.01703 1.248e-14 2.013e-17
0.01707 2.792e-14 2.635e-17
0.01711 6.873e-14 3.564e-17
0.01715 1.736e-13 5.023e-17
0.01719 4.326e-13 7.471e-17
0.01721 7.059e-13 9.405e-17
0.01723 1.172e-12 1.206e-16
0.01725 1.947e-12 1.579e-16
0.01727 3.207e-12 2.113e-16
0.01728 4.13e-12 2.47e-16
0.01729 5.327e-12 2.904e-16
0.01729 6.869e-12 3.432e-16
0.0173 8.836e-12 4.078e-16
0.01731 1.133e-11 4.868e-16
0.01732 1.445e-11 5.837e-16
0.01733 1.835e-11 7.025e-16
0.01734 2.318e-11 8.483e-16
0.01735 2.912e-11 1.027e-15
0.01736 3.639e-11 1.246e-15
0.01737 4.065e-11 1.373e-15
0.01737 4.538e-11 1.513e-15
0.01738 5.063e-11 1.668e-15
0.01738 5.644e-11 1.839e-15
0.01739 6.286e-11 2.027e-15
0.01739 6.994e-11 2.235e-15
0.0174 7.775e-11 2.463e-15
0.0174 8.635e-11 2.714e-15
0.01741 9.579e-11 2.99e-15
0.01741 1.062e-10 3.293e-15
0.01742 1.175e-10 3.624e-15
0.01742 1.3e-10 3.987e-15
0.01743 1.436e-10 4.384e-15
0.01743 1.585e-10 4.818e-15
0.01744 1.748e-10 5.291e-15
0.01744 1.925e-10 5.807e-15
0.01745 2.118e-10 6.369e-15
0.01745 2.328e-10 6.98e-15
0.01746 2.557e-10 7.644e-15
0.01746 2.805e-10 8.364e-15
0.01747 3.074e-10 9.146e-15
0.01747 3.365e-10 9.992e-15
0.01748 3.68e-10 1.091e-14
0.01748 4.021e-10 1.19e-14
0.01749 4.389e-10 1.297e-14
0.01749 4.787e-10 1.412e-14
0.0175 5.215e-10 1.536e-14
0.0175 5.676e-10 1.67e-14
0.0175 6.173e-10 1.814e-14
0.01751 6.707e-10 1.969e-14
0.01751 7.281e-10 2.135e-14
0.01752 7.896e-10 2.314e-14
0.01752 8.557e-10 2.505e-14
0.01753 9.265e-10 2.71e-14
0.01753 1.002e-09 2.93e-14
0.01754 1.083e-09 3.165e-14
0.01754 1.17e-09 3.416e-14
0.01755 1.263e-09 3.685e-14
0.01755 1.362e-09 3.972e-14
0.01756 1.468e-09 4.279e-14
0.01756 1.581e-09 4.606e-14
0.01757 1.701e-09 4.955e-14
0.01757 1.83e-09 5.327e-14
0.01758 1.967e-09 5.723e-14
0.01758 2.113e-09 6.145e-14
0.01759 2.268e-09 6.595e-14
0.01759 2.433e-09 7.073e-14
0.0176 2.609e-09 7.583e-14
0.0176 2.797e-09 8.125e-14
0.01761 2.996e-09 8.702e-14
0.01761 3.208e-09 9.315e-14
0.01762 3.434e-09 9.967e-14
0.01762 3.674e-09 1.066e-13
0.01763 3.929e-09 1.14e-13
0.01763 4.2e-09 1.218e-13
0.01764 4.489e-09 1.302e-13
0.01764 4.796e-09 1.391e-13
0.01765 5.123e-09 1.485e-13
0.01765 5.294e-09 1.534e-13
0.01765 5.47e-09 1.585e-13
0.01765 5.652e-09 1.637e-13
0.01766 5.84e-09 1.691e-13
0.01766 6.034e-09 1.747e-13
0.01766 6.233e-09 1.804e-13
0.01766 6.439e-09 1.863e-13
0.01767 6.651e-09 1.924e-13
0.01767 6.869e-09 1.987e-13
0.01767 7.094e-09 2.051e-13
0.01767 7.326e-09 2.117e-13
0.01768 7.564e-09 2.186e-13
0.01768 7.81e-09 2.256e-13
0.01768 8.062e-09 2.328e-13
0.01768 8.322e-09 2.402e-13
0.01769 8.588e-09 2.478e-13
0.01769 8.862e-09 2.556e-13
0.01769 9.144e-09 2.637e-13
0.01769 9.432e-09 2.719e-13
0.0177 9.728e-09 2.803e-13
0.0177 1.003e-08 2.889e-13
0.0177 1.034e-08 2.977e-13
0.0177 1.066e-08 3.067e-13
0.01771 1.098e-08 3.159e-13
0.01771 1.131e-08 3.253e-13
0.01771 1.165e-08 3.349e-13
0.01771 1.199e-08 3.446e-13
0.01771 1.234e-08 3.544e-13
0.01772 1.27e-08 3.645e-13
0.01772 1.305e-08 3.746e-13
0.01772 1.342e-08 3.849e-13
0.01772 1.378e-08 3.952e-13
0.01773 1.415e-08 4.057e-13
0.01773 1.453e-08 4.162e-13
0.01773 1.49e-08 4.268e-13
0.01773 1.528e-08 4.373e-13
0.01774 1.565e-08 4.479e-13
0.01774 1.603e-08 4.584e-13
0.01774 1.677e-08 4.795e-13
0.01775 1.75e-08 5.002e-13
0.01775 1.82e-08 5.203e-13
0.01776 1.888e-08 5.395e-13
0.01776 1.951e-08 5.578e-13
0.01777 1.981e-08 5.662e-13
0.01777 2.01e-08 5.744e-13
0.01777 2.038e-08 5.822e-13
0.01777 2.064e-08 5.896e-13
0.01778 2.089e-08 5.966e-13
0.01778 2.112e-08 6.031e-13
0.01778 2.133e-08 6.092e-13
0.01778 2.153e-08 6.148e-13
0.01779 2.171e-08 6.199e-13
0.01779 2.187e-08 6.245e-13
0.01779 2.201e-08 6.286e-13
0.01779 2.214e-08 6.322e-13
0.0178 2.225e-08 6.351e-13
0.0178 2.234e-08 6.376e-13
0.0178 2.245e-08 6.412e-13
0.01781 2.249e-08 6.427e-13
0.01781 2.246e-08 6.422e-13
0.01782 2.236e-08 6.397e-13
0.01782 2.22e-08 6.353e-13
0.01783 2.199e-08 6.293e-13
0.01783 2.171e-08 6.218e-13
0.01784 2.14e-08 6.129e-13
0.01784 2.104e-08 6.029e-13
0.01785 2.064e-08 5.918e-13
0.01785 2.022e-08 5.799e-13
0.01786 1.977e-08 5.673e-13
0.01786 1.93e-08 5.541e-13
0.01787 1.882e-08 5.406e-13
0.01787 1.833e-08 5.268e-13
0.01788 1.784e-08 5.128e-13
0.01788 1.735e-08 4.987e-13
0.01789 1.637e-08 4.709e-13
0.0179 1.541e-08 4.438e-13
0.01791 1.449e-08 4.177e-13
0.01792 1.363e-08 3.93e-13
0.01793 1.282e-08 3.698e-13
0.01794 1.206e-08 3.481e-13
0.01795 1.136e-08 3.28e-13
0.01796 1.071e-08 3.094e-13
0.01797 1.01e-08 2.922e-13
0.01799 9.05e-09 2.617e-13
0.01801 8.151e-09 2.358e-13
0.01803 7.383e-09 2.136e-13
0.01805 6.72e-09 1.948e-13
0.01809 5.681e-09 1.644e-13
0.01813 4.88e-09 1.412e-13
0.01816 4.252e-09 1.23e-13
0.0182 3.749e-09 1.084e-13
0.01824 3.34e-09 9.661e-14
0.01828 3.002e-09 8.683e-14
0.01832 2.719e-09 7.865e-14
0.01836 2.478e-09 7.177e-14
0.01844 2.106e-09 6.087e-14
0.01852 1.82e-09 5.26e-14
0.01859 1.596e-09 4.611e-14
0.01867 1.416e-09 4.092e-14
0.01875 1.27e-09 3.668e-14
0.01883 1.148e-09 3.318e-14
0.01891 1.046e-09 3.023e-14
0.01898 9.599e-10 2.774e-14
0.01906 8.855e-10 2.561e-14
0.01922 7.681e-10 2.219e-14
0.01938 6.761e-10 1.953e-14
0.01953 6.025e-10 1.74e-14
0.01969 5.424e-10 1.566e-14
0.01984 4.927e-10 1.423e-14
0.02 4.508e-10 1.303e-14
0.02031 3.869e-10 1.117e-14
0.02063 3.38e-10 9.755e-15
0.02094 2.995e-10 8.643e-15
0.02125 2.685e-10 7.754e-15
0.02188 2.241e-10 6.467e-15
0.0225 1.917e-10 5.53e-15
0.02312 1.67e-10 4.819e-15
0.02375 1.478e-10 4.265e-15
0.025 1.213e-10 3.5e-15
0.02625 1.025e-10 2.957e-15
0.0275 8.847e-11 2.552e-15
0.02875 7.765e-11 2.24e-15
0.03 6.909e-11 1.993e-15
0.03125 6.215e-11 1.793e-15
0.0325 5.643e-11 1.628e-15
0.03375 5.164e-11 1.489e-15
0.035 4.757e-11 1.372e-15
0.03625 4.407e-11 1.271e-15
0.0375 4.103e-11 1.184e-15
0.03875 3.838e-11 1.107e-15
0.04 3.603e-11 1.039e-15
0.04125 3.395e-11 9.792e-16
0.0425 3.209e-11 9.255e-16
0.04375 3.041e-11 8.772e-16
0.045 2.891e-11 8.338e-16
0.04625 2.756e-11 7.951e-16
0.0475 2.644e-11 7.642e-16
0.05 2.644e-11 7.642e-16
>>>>>>>>>>>>>>>>>>>>>>>>>>>>>>>>> products <<<<<<<<<<<<<<<<<<<<<<<<<<<<<<<<<
-------------------------------------------------------------------------------
z
-------------------------------------------------------------------------------
0
mixture-averaged flamespeed = 0.380152 m/s
Temperature and Heat Release Rate#
# Find the region that covers most of the temperature rise
z = 1000 * f.grid # convert to mm
i_left = np.where(f.T > f.T[0] + 0.01 * (f.T[-1] - f.T[0]))[0][0]
i_right = np.where(f.T > f.T[0] + 0.95 * (f.T[-1] - f.T[0]))[0][0]
z_left = z[i_left]
z_right = z[i_right]
dz = z_right - z_left
z_left -= 0.3 * dz
z_right += 0.3 * dz
fig, ax1 = plt.subplots()
ax1.plot(z, f.heat_release_rate / 1e6, color='C4')
ax1.set_ylabel('heat release rate [MW/m³]', color='C4')
ax1.set(xlabel='flame coordinate [mm]', xlim=[z_left, z_right])
ax2 = ax1.twinx()
ax2.plot(z, f.T, color='C3')
ax2.set_ylabel('temperature [K]', color='C3')
plt.show()

Major Species Profiles#

Minor / Ionized Species Profiles#

Total running time of the script: (0 minutes 35.946 seconds)